Gabriel Chardin, Luc Blanchet et Philippe Pajot :
une conception très particulière de l'honnêteté scientifique.
4 avril 2017
Voici la couverture du numéro d'avril de la revue "La Recherche" :

Un titre ronflant, qui pointe vers des propos de Gabriel Chardin, de la direction générale du Cnrs

et de Luc Blanchet, directeur de recherche à l'Institut d'Astrophysique de Paris.

recueillis par le journaliste de la Recherche, un jeune mathématicien :

das un article qui a pour titre :

Si, comme disaient les Lacédémoniens.
Philippe Pajot consacre quatre pleines pages à aux propos de ces deux chercheurs, que j'ai vainement tenté de rencontrer, de même que ce journaliste : mes mails sont restés sans réponse. Même insuccès pour présenter mon modèle cosmologique Janus en séminaire, à l'Institut d'Astrophysique de Paris, alors que ces travaux ont été dûment publiés dans deux revues de haut niveau, contrôlées par des referees, Astrophysics and Space Science et Modern Physics Letters A
Il y a une couronne à coiffer, pour celle de celui qui ouvrira une voie nouvelle de recherche fondamentale, concernant cette grande absente de la cosmologie : l'antimatière primordiale. Si l'antimatière que Chardin et son équipe vont tester en laboratoire, suffisamment ralentie pour être sensible au champ de gravité terrestre, tombe vers le bas, alors c'est le prix Nobel assuré, c'est certain. Plusieurs laboratoires sont d'ailleurs engagés dans cette course (manips Gbar, AEGIS, Alpha-g).
La base théorique est fournie par Luc Blanchet. Son article, examiné à la loupe plus bas est, pour qui sait voir, un complet salmigondi, pavé de considérations au conditionnel. La recherche théorique, de nos jours, consiste à écrire un Lagrangien, qui est censé être doté de toutes les vertus. Cette démarche a des allures d'exorcisme. Le Lagrangien de Blanchet fait état de trois matières. La matière baryonique, plus deux matières sombres (...). Tout cela étant "couplé" par un mystérieux "champ gravitovecteur" qui impliquerait l'existence d'une particule véhiculant cette force, un "graviphoton". C'est à croire qu'avant la thèse de Toricelli, quelqu'un aurait expliqué la montée du mercure dans les baromètre à l'aide d'un champ "baryvecteur", traduisant "lhorreur du vide" et impliquant l'action d'une particule, le "baromètrion"
Blanchet pour ce faire doit reprendre une approche initiée en 1939 par Fierz et Pauli, qui implique de dote le graviton d'une masse (alors qu'on ne dispose d'aucun modèle de graviton). Mais, signalé en 1998 par Boulware et Deser, une telle approche entraîne une instabilité de calcul que ceux-ci ont nommé en 1972, il y a 45 ans (...), des "ghost" ("fantômes" en anglais). Blanchet espère donc que son bricolage informe sera "ghost free". En fait dans ce fatras, il n'y a rien, que des mots mis bout à bout, se terminant par l'invention de deux autres mots : "gravivecteur" et "graviphoton"
Pages 74-75, voilà ce que Blanchet nous dit :

Notez la phrase-clé :
- Or il se trouve que dans une formulation (laquelle ?) de cette théorie, tout se passe comme si s'il y avait deux manières différentes de mesurer les distances-deux espaces-temps et deux "métriques". Dans chaque espace-temps, on peut avoir des particules, et comme les deux métriques se comportent différemment (avec un terme de couplage unique entre les deux), les particules de l'un des espace-temps peuvent apparaître comme ayant une masse nagative lorsqu'elles sont mesurées par rapport à l'autre espace-temps. On a donc un effet d'antigravité (2).
Comment Blanchet parvient-il a dériver ces phrases, qui décrivent, mot pour mot, les grands traits de mon modèle Janus, à partir des références citées, à l'appui de ces assertions (dont son propre article) :
(1) A. Benoit-Lévy et G.Chardin, A & A , 537, A78, 2012
(2) C. de Rham et al. Phys Rev. Lett. 106, 231,101, 2011
(3) L.Blanchet et L.Heisenberg Cosmo. Astro. 12,26,2015
(4) R.H.Price, Am. Jr. Phys, 61, 216,1993
- La première référence c'est un article De Benoit Lévy et Gabriel Chardin, présentant ce "modèle cosmologique de Dirac-Milne
- La seconde Est un article de la scientifique Claudia de Rham, actuellement à Imperial College, Londres

- La troisième un papier de Luc Blanchet et de L. Heinsenberg
- La quatrième un article de R.H.Price.
J'ai examiné ces quatre documents à la loupe (voir plus bas). La conclusion est que rien dans ceux-ci ne permet de faire un lien avec les phrases de l'article, qui ne sont rien d'autre qu'une tentative maladroite de porter à son crédit le travail d'un autre et qui traduit de la part du trio Chardin - Blanchet - Pajot une conception très particulière de l'honnêteté scientifique.
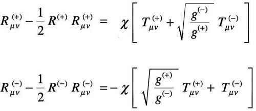
Mon modèle cosmologique Janus est évidemment beaucoup plus construit et élaboré que ces bricolages confus. Il repose sur deux équations de champ couplées la première, s'identifiant alors à l'équation d'Einstein au voisinage du système solaire. La chose la plus difficile à faire passer c'est un changement de paradigme aussi important. C'est un lancé de bouchon à distance cosmique
Tout se résume, en effet, aux ... " équations de Jean-Pierre Petit ".

Personne ne ... va aussi loin. Si j'ai raison, ça sera difficile à faire passer. Bien que cette théorie ait fait l'objet de plusieurs publications dans des revues de haut niveau, contrôlée par des referees (Astrophysics and Space Science et Modern Physics Letters A en 2014-2015) , aucun journal de vulgarisation n'a fait (et ne fera) écho à ce travail, alors que de ces équations on tire la solution de tous les problèmes de la cosmologie et de l'astrophysique d'aujourd'hui, dont par exemple le phénomène de l'accélération de l'expansion, sous la forme d'une "solution exacte", exempte d'ingrédients, synononymes d'une floppée de paramètres libres : six dans le modèle mainstream Lambda CDM, avec constante cosmologique et matière sombre froide (on dirait une recette de cuisine). Plus besoin de matière sombre et d'énergie noire.
Les deux articles en question :
- J.P.Petit & G.D'AGOSTINI : Negative mass hypothesis in cosmology and the nature of dark energy. Astrophysics and Space Science, A9, 145-182 (2014)
Ces composants invisibles de l'univers deviennent la copie conforme de ceux que nous connaissons, affectés d'une masse et d'une énergie négative.
Ce schéma apporte aussi la réponse à l'absence d'observation d'antimatière primordiale et parachève le schéma proposé par André Salharov en 1967 : les particules de masse négative émettent des photons d'énergie négative, que nos yeux et nos télescopes ne peuvent capter. .
Comme les séminaires scientifiques, où je pourrais présenter et défendre ce modèle, me sont fermés, et qu'aucune revue de vulgarisation ou émission de télévision ne donnera écho à mes travaux (après de longues tractations la direction du Palais de la Découverte de Paris vient de s'opposer aujourd'hui, à la publication d'un article évoquant mon travail), j'ai donc pris le parti de créer cette suite de vidéos "Janus" pour échapper à cet ostracisme inacceptable. La véritable raison d'un tel rejet : la cosmotrouille.
Au lieu de poser la question " comment le modèle Janus s'intègre-t-il dans le schéma de la Relativité Générale ? " il devient nécessaire d'inverser la question en disant " comment le modèle de la Relativité Générale s'intègre-t-il dans ce nouveau schéma Janus ?" Une revendication qui est bien difficile à faire passer..
Il est un fait, sur lequel les autres continuent à buter, c'est l'impossibilité d'introduire des masses négatives dans la Relativité Générale, découverte et soulignée par Hermann Bondi en 1957. En effet, toute tentative, dans le schéma Einsteinien débouche sur des lois d'interaction ingérables :
- Les masses positives attirent tout
- Les masses négatives repoussent tout
Ceci débouche sur le paradoxe RUNAWAY. Si on met en présence deux particules ayant des masses de signes opposés, la masse positive s'enfuit, animée d'un mouvement uniformément accéléré, pourquivie par la masse négative. Et l'énergie est cinétique de l'ensemble reste .... nulle, vu que le 1/2 m V2 de la masse négative est ... négatif !

Le modèle Janus apporte la solution, au prix d'une saut paradigmatique majeur : le passage aux deux équations de champ couplées. Ce qui revient à considérer que l'hypersurface espace-temps possède ... un endroit et un envers. Alors les lois d'interaction, dérivée par ce qu'on appelle "l'approximation Newtonienne" deviennent :
- Les masses de même signe s'attirent selon la loi de Newton
- Les masses de signes opposés se repoussent selon "anti-Newton"
Dans les papiers de Chardin et de Blanchet on ne trouvera que des acrobaties informes avec introduction de gravitons massifs, d'un nouveau champ de force, le "gravito-vecteur", d'une nouvelle particule, le "graviphoton", voire de l'abandon du principe d'équivalence.
Nulle part le scientifique ne parviendra à trouver dans les articles cirés de quoi justifier les phrases :
... tout se passe comme s'il y avait deux manières différentes de mesurer les distances- deux espaces-temps ou deux "métriques". Dans chaque espace-temps, on peut avoir des particules, et comme les deux métriques se comportent différemment (avec un terme de couplage unique entre les deux), les particules dans l'un des espaces-temps peuvent apparaître comme ayant une masse négative lorsqu'elles sont mesurées par rapport à l'autre espace-temps. On a donc un effet d'antigravité.
Par quelque bout qu'on les prenne, celles-ci ne se réfèrent qu'à mon modèle Janus et à rien d'autre. "Leur bimétrique" n'a rien à voir avec le mien.
A propos de ce champ de force supplémentaire, Blanchet écrit, page 47 :
- L'une des motivations pour les expériences du Cern sur la chute de l'antimatière est de tester la présence d'un champ supplémentaire (appelé "gravivecteur" et dont la particule médiatrice et le "graviphoton") qui s'ajoute au champ de la Relativité Générale. Ce champ supplémentaire créerait une distinction entre le mouvement des pareticules et des antiparticules, que l'on pourrait alors mettre en évidence. Donc, pour l'interprétation des expériences, l'approche orthodoxe consiste à dire que la relativité générale est correcte, mais qiu'on a des champs en plus.
On est en pleine action de la poudre de perlimpinpin, dont la particule clé est le perlimpinpino.
Ceci étant, ces gens sont libres d'envisager ce qu'ils veulent. Cela fait partie du jeu de la recherche. Mais ce qui n'est pas normal c'est de refuser d'entendre ceux qui ont des théories différentes. Comme Chardin, Blanchet et une longue série d'autres "experts", Damour me refuse depuis plus de dix années l'accès au séminaire de l'Institut des Hautes Etudes Scientifiques de Bures sur Yvette, dont il est le cerbère.

Sa seule réponse : - Vos travaux ne m'intéressent pas.
Depuis six mois j'ai démarché auprès de toutes les "figures" de la discipline (18 chercheurs) et de tous les laboratoires concernés (quinze).
Je n'ai pas obtenu de réponse négative : ces gens ne m'ont simplement pas répondu. Il faut ajouter à cela le silence, les non réponses des journalistes scientifiques, la dernière en date ayant été celle de Philippe Pajot. J'ai donc entrepris, depuis dix semaines, de présenter mes travaux, au public cette fois, dans une série de vidéos, qui reçoivent une audience importante. Pour le moment c'est la version "grand public". Après, je créerai des "vidéos bis" du niveau math sup, qui s'adresseront à des dizaines de millier d'étudiants et d'ingénieurs et j'en ferai des versions doublées en anglais, russe, chinois.
Je vais dans quelques jours installer la douzième de la série où, enfin, je présente les bases de mon modèle Janus, après une longue "préparation d'artillerie". Dans la dernière vidéo j'exposerai les implications vis à vis du problème des voyages interstellaires. Les gens connaitront ainsi tous les tenants et aboutissants de cette démarche de quarante années, dont c'est en fait le point focal, avec un lien évident avec le sujet tabou par excellence : le dossier OVNI.
Revenant à l'article de la Recherche et au projet de Gabriel Chardin et de Luc Blanchet, je dirai que
Leur antimatière de laboratoire tombera bêtement vers le bas, comme sa soeur la matière.
Je le prédis et je m'engage.
La Nature est indifférente aux effets d'annonce. C'est elle qui tranchera.
Jusqu'où peut-on penser trop loin ?
Que se passera-t-il après, je n'en sais rien. Vous noterez cependant une phrase de l'article.
... tout se passe comme s'il y avait deux façons de mesurer les distances ...
Entre deux étoiles il y a effectivement deux distances possibles, selon que le véhicule qui les parcourt est constitué de masse positive ou de masse négative. Tout récemment j'ai pu calculer cette différences des distances entre deux étoiles, selon qu'on chemine sur "l'endroit ou l'envers de l'hypersurface". En empruntant l'envers de l'univers, après que la nef ait inversé sa masse, la distance est alors cent fois plus courte, et dans ce référentiel la vitesse de la lumière est dix fois plus grande. La nef n'a pas besoin de "propulseur". En inversant la masse la contrainte de conservation de l'énergie fait que l'engin acquiert un "autre matérialité" (pour un observateur fait de masse positive il semble "se dématérialiser" ). En fait, le cheminement dans le "secteur négatif" ne peut s'opérer qu'à vitesse relativiste, pour se retrouver "en pays de connaissance" avec son environnement d'atomes, (adaptation des "longueur de Compton" grâce à la contraction de Lorentz). Avec un tel rapport de distances, l'inversion de masse entraîne une rematérialisation dans le secteur négatif pratiquement à la vitesse de la lumière dans celui-ci, c'est à dire à 3 millions de kilomètres par seconde. Ainsi, si dans le monde des masses positives il faut dépenser ne énergie pharamineuse pour simplement acquérir une vitesse relativiste, quand la nef croise dans ce monde des masses négatives, freiner serait trop coûteux en énergie. Des idées que j'ai déjà développées et publiées dans une revue de haut niveau, en 2015 (dans Modern Physics Letters A).
Pour s'arrêter, il suffit d'inverser la masse une seconde fois. Passez muscade. Les concepts d'accélération et de décélération ne sont alors plus opératoires. On réapparaît dans le monde des masses positives, on se "rematérialise" en récupérant les paramètres cinétiques dont l'engin était doté au départ. Temps de voyage, pour rejoindre une planètes situées à 15 années lumière : trois petits mois.
Même entre les mains de gens qui refuseront toute implication de leur démarche, l'idée fait son chemin. La "barrière luminique" est sur le point de s'effondrer, en même temps qu'on s'achemine vers la découverte, proche, de substances comme le méthane, l'oxygène à l'état libre à la surface de planètes étonamment proches de la Terre.
Vous comprenez maintenant le pourquoi de l'attitude de nos épistémo-Tartuffes :
- Cachez ce modèle Janus que je ne saurais voir ...
Référence (1) "Introducing the Dirac-Milne Universe" A. Benoit-Lévy & G.Chardin:
Le modèle repris est delui proposé en 1933 par Milne, qui consiste à donner au second membre de l'équation d'Einstein une valeur zéro. Comme celui-ci rend compte de l'action du contenu en énergie-matière de l'univers, cette technique consiste à supposer qu'il y a deux contenus, l'un correspondant à une énergie-matière positive, l'autre à une énergie-matière négative, et que ces deux s'annulent.
Les auteurs font ensuite la liste des hypothèses sous-jacentes, à savoir :
1 - L'existence d'un mécanisme ayant permis la séparation matière antimatière. La structure de l'univers invoquée est alors celle d'une émulsion, les deux entités occupant des domaines séparés "de la taille de l'univers connu".
2 - On suppose qu'il existe une force de répulsion entre matière et antimatière. Deux références sont citées. Mais dans ce processus de séparation l'annihilation à la frontière séparant ces deux domaines se traduirait par une émission de rayons fgamma, non observée, ceci contredisant ainsi l'observation.
3 - Mais un des attraits du modèle de Milne est qu'il produit une théorie alternative à celle de l'inflation, pour justifier la remarquable homogénéité de l'univers primitif. Les auteurs supposent que la contribution du rayonnement au "stress tensor" serait négligeable à toutes les époques
Les différents aspects du modèle de Milne sont alors repris. La température varie comme l'inverse du temps. Les calculs portent alors sur les phénomènes microphysiques issues de ce modème (nucléosynthèse, synthèse de l'hélium).
Dans la section 5 les auteurs conviennent que le modèle de fait pas état d'une accélération de l'expansion, ou d'une décélération.L'article présente une analyse des données des supernovae, à travers le modèle de Milne en concluant que ces deux modèles (le modèle d'Einstein de Sitter, plus CDM, plus constante cosmologique, et le modèle de Milne) conduisent à des conclusions équiprobables, avec un léger avantage pour le modèle de Milnes pour les supernovae proches. Ce qui revient à nier le résultat du prix Nobel de 2011.
La section suivante traite des oscillations acoustiques dans le CMB.
A titre de conclusion les auteurs écrivent que "si le modèle Lambda CDM est en bon accord avec l'observation, son support théorique reste faible". L'accent est porté sur la résolution du problème de l'horizon cosmologique. On dresse le bilant de n'analyse concernant la nucléosynthèse. On note le désaccord avec l'observation, concernant le phénomène d'accélération cosmique, que le modèle de Milne ne gère pas. Il est aussi noté que le modèle ne produit pas de mécanisme pouvait assurer une séparation des deux entités : matière et antimatière.
Référence (2) - L'article de Claudia de Rham "Resummation of Massive Gravity" ( "Reprise de cette question de gravité massique" ) , part de l'article fondateur de la "gravité massique" qui correspond au modèle de Fierz-Pauli (1939), qui se fonde sur l'hypothèse de gravitons dotés d'une masse, de spin 2. L'approche repose sur la construction d'un Lagrangien. Elle rappelle que cette approche a immédiatement fait apparaitre une instabilité, à laquelle Boulware et Deser (1972) ont donné le nom de "ghost", de "fantôme". Les efforts ont alors été portés sur le souci d'éliminer cette instabilité. Une première théorie a vu le jour (elle cite ses propres travaux de 2010) selon lesquels un choix opportun de coefficients permettrait d'éliminer la dite instabilité en approche linéaire. L'article de 2012 est une extension de cette méthode au non-linéaire. Le mot masse négative ne figure pas dans l'article. Il n'y a ni métrique, ni équation de champ, ni lois d'interaction.
Bien que Gabriel Chardin dise, au bas de la page 46 "Après des décennies des recherche, les physiciens ont montré, dans les années 2010,qu'il y avait une façon d'étendre la relativité générale pour donner une masse au graviton, en prenant en compte toute la structure non-linéaire de la théorie. Or il se trouve que dans cette théorie ... etc .
Il faudra que Chardin nous explique comment on parvient, à partir des papiers de Claudia de Rham, de Blanchet ou des siens, a faire un lien avec la deuxième partie de ses phrases
... tout se passe comme s'il y avait deux manières différentes de mesurer les distances- deux espaces-temps ou deux "métriques". Dans chaque espace-temps, on peut avoir des particules, et comme les deux métriques se comportent différemment (avec un terme de couplage unique entre les deux), les particules dans l'un des espaces-temps peuvent apparaître comme ayant une masse négative lorsqu'elles sont mesurées par rapport à l'autre espace-temps. On a donc un effet d'antigravité.
(3) L'article de Blanchet et Heisenberg : "Dark matter via (massive) bi-gravity" :
Dans cet article de 2015 les deux auteurs se centrent sur la théorie MOND, de Milgrom, où la force de gravité passe d'une loi en 1/r2 tant que le champ gravitationnel reste inférieur à une valeur seuil, à une loi en 1/r au delà. Ils considèrent alors deux espèces de matières sombres associées chacun à leur propre métrique. Ces deux "secteurs" sont censés être liés par un champ de force. L'accent est porté sur le souhait d'échapper aux "ghost" inhérents aux théories de "massive gravity" (avec des gravitons dotés d'une masse). Différents schémas sont envisagés.
Au bout du compte les auteurs suggèrent un schéma la possible existence d'un schéma " ghost free " qui pourrait (conditionnel !) rendre compte de cette gravitation modifiée, de Mordechaï Milgrom, évoquée plus haut, à l'échelle galactique.
Page 2, pour ces auteurs, les "théories bimétriques" ont été largement développées, en tant qu'extension du modèle de Fierz-Pauli (rien à voir avec la bimétrique du modèle Janus !).
Ils rappellent "que les premiers modèles de bigravité ont été entachés dule phénomène des "ghosts", de "solutions fantômatiques" et ne pouvaient donc pas faire figure de théories viables. Comme dans le papier de de Rham, et de tant d'autres, l'analyse se concentre sur la construction d'un "Lagrangien", au prix de maintes hypothèses. L'article fait référence à des travaux antérieurs ( de Rham, Heinsenberg, 2014-2015). Une "métrique effective" est introduite.
Les auteurs suggèrent des formes possibles de cette interaction et évoque un " mini-superspace of the new kinetic term " (?...). Emerge alors la question de savoir si ce mini-supespace sera ou non sujet aux "ghost instabilities" ( " Le problème est alors que nous avons trop de termes cinétiques" (...).
Section VI : "Ainsi le modèle de Dark matter proposé dans la référence (45) n'était pas viable". (Cf un article de Bernard et Blanchet, présenté sur ArXiv en 2014). Le Lagrangien (31) représente alors une proposition de "dark matter dipolaire".

Dans ce modèle, trois densités de matières. b pour les baryons, la matière ordinaire et g et f pour deux espèces de matières sombres. Dans cette expression, nombre d'objets mathématiques hypothétiques, l'objet central étant un champ A indice mu. C'est lui qui assurerait le couplage entre ces différentes métriques.
Je cite, page 6, les conclusions de l'article :
VII Conclusions :
We explored the possible candidates for relativistic dark matter models in bimetric extensions of General Relativity, that hopefully will provide modified Newtonian dynamics (MOND) at galactic scales while giving rise to an expansion at cosmological scales. A promising road comes from the ghost-free constructions of dRGT massive gravity [15, 16] where the interactions between two metrics are tuned in a way that the Boulware-Deser ghost remains absent. Furthermore, the important studies of possible consistent couplings to matter fields [52– 54] are beneficial to us, since for the model to work, we have to consider two different species of dark matter particles that couple separately to the two metrics while an additional internal vector field couples minimally to an effective metric built out of the two. The vector field links together the two sectors of the dark matter particles and plays a crucial role for gravitational polarization and MOND [45, 46]. For the ghost absence the question of allowed kinetic interactions is mandatory. We showed that the kinetic Lagrangian containing three kinetic terms immediately gives rise to the introduction of the ghost and we therefore concluded that only two kinetic terms are allowed.
In a future work [55], we will study in detail the covariant equations of motion of the new model, derive the non-relativistic limit and see if the polarization mechanism for dark matter works in the same way as in the originally proposed model. We will investigate in detail the possible danger of ghostly interactions in the matter sector and constrain further the model. We intend also to check if the parametrized post-Newtonian parameters are close to the ones of GR in the solar system, and to investigate the cosmological solutions in first order perturbations.
Traduction : Nous avons exploré les candidats possibles pour des modèles de manière sombre relativiste à travers des extensions bimétriques de la Relativité Générale qui, nous l'espérons (...), nous donnerons la dynamique newtonienne modifiée (MOND) sur les échelles de distance galactiques. Une voie prometteuse (...) est représentée par les constructions ghost free de la gravité massive (références 15 et 16), où les interaction entre les deux métriques sont négociées de telle façon que les instabiloités fantômes de Boulware et Deser seraient (...) absentes. En outre d'importantes études de couplages possibles avec la matière (à faire, donc) sont potentiellement profitables dans la mesure où pour assurer le fonctionnement du modèle nous devons considérer deux populations de particules de matière sombre, liées chacune à une métrique, tandis qu'un champ de vecteur additionnel, interne, se couple de manière minimale avec une métrique effective, construite à partir des deux. Le champ de vecteur couple les deux matières sombres (comment?) et joue un rôle crucial pour la polarisation (de cette matière sombre en deux entités) ainsi pour la théorie MOND. Pour la question de l'absence d'instabilité ghost (un problème, évoqué, mais nullement réglé) la question des lois d'interactions retenues est incontournable. Nous avons montré que le fait que le Lagrangien cinétique contienne trois termes suggère la possible émergence de ghost (...) et de ce fait nous en concluons que seuls deux termes cinétiques sont permis. Dans un futur travail nous étudierons en détail les équations covariantes du mouvement, dans le nouveau modèle (...). Nous construirons l'approximation non-relativiste et nous regarderons si le mécanisme de polarisation de la matière sombre va dans le même sens que dans celui originellement proposé. Nous examinerons en détail le possible danger d'émergence d'interactions ghost (...)
Bref, il ne s'agit que "pistes" (mot qu'on entend souvent). Un travail fait et à faire. Les problèmes sont soulevés, mais non résolus. Tout repose sur un mystérieux champ que Blanchet désigne dans l'article de la Recherche sous le nom de "gravivecteur" et dont la particule médiatrice serait un "graviphoton". Comme d'habitude, de soi-disant nouveautés se résument à la création de ... nouveaux mots. Toujours est-il que dans cet article, comme dans les autres cité, il est impossible de faire le lien avec les phrases :
... tout se passe comme s'il y avait deux manières différentes de mesurer les distances- deux espaces-temps ou deux "métriques". Dans chaque espace-temps, on peut avoir des particules, et comme les deux métriques se comportent différemment (avec un terme de couplage unique entre les deux), les particules dans l'un des espaces-temps peuvent apparaître comme ayant une masse négative lorsqu'elles sont mesurées par rapport à l'autre espace-temps. On a donc un effet d'antigravité.
qui, elles, se réfèrent à mon modèle Janus.
Par quelque bout qu'on prenne ce problème ceci semble traduire une honnêteté intellectuelle un peu particulière
Mais dame Nature tranchera. Il n'y aura ni champ gravivecteur, ni graviphotons et ce travail, incohérent, sans véritable contenu, assemblage de mots, ira rejoindre ceux des cordes dans les poubelles de la science.
(4) Ce que dit l'article de Price : "Les masses négatives peuvent être un bon sujet de distraction" (...) :
"Les masses négatives sont peut être non-physiques, mais elles peuvent déboucher sur des prédictions intéressantes". Il reprend alors le distingo introduit par Hermann Bondi, dans son article de 1957, introduisant les concepts de "masse gravitationnelle active" et de "masse gravitationnelle passive" (selon le principe d'équivalence, elles sont toutes identiques). Il évoque alors une image, décrivant selon lui le comportement de masses négatives dans le champ de pesanteur, en décrivant un enfant retenant un ballon par un fil et il "crit "Il y a une différence entre la masse négative et le ballon, au sens où, si le fil se brise, le ballon accélèrera vers le haut, tandis que la masse négative tomberait vers le bas. Les choses deviennent différentes si on remplace l'enfant, responsable de cette force tirant vers le bas, par une particule de masse positive"". En jouant alors avec "ces forces qui tirent vers le haut" et "ces forces qui tirent vers le bas, Price nous propose un "gravitational glider" où ces forces ont une résultante nulle.
Cet article ne mérite pas le qualificatif d'article scientifique. On n'analyse pas ce problème de masse négative avec des ballons et des ficelles. Dans le modèle Einsteinien il y a un équation de champ. En la linéarisant à l'aide d'une double approximation, c'est à dire en traitant d'une portion de l'espace temps faiblement courbée et où les vitesses sont faibles devant la vitesse de la lumière, l'équation de champ s'identifie avec l'équation de Poisson. L'approximation permet en parallèle de linéariser les équations des géodésiques. Le schéma d'interaction apparaît, qui est tout simplement la loi de Newton, en 1/r2. Mais quand Milne tente d'introduire un mélange de masses positives et de masses négatives il débouche sur les lois :
- Les masses positives attirent tout
- Les masses négatives attirent tout
Ce qui produit aussitôt l'ingérable paradoxe Runaway : Si on met en présence deux masses de signes opposés, la masse positive s'enfuit, poursuivie par la masse négative. Les deux sont animées d'un mouvement uniformément accéléré. Mais l'énergie se conserve (...) vu que le 1/2 mV2 de la masse négative est ... négatif.
Pour pouvoir sortir de cette impasse il faut envisager un changement paradigmatique prodond. Dans la Relativité Générale l'univers est une hypersurface dotée d'une seul métrique, qui engendre un unique système de géodésiques, chemins empruntés par les particules. Mathématiquement c'est une variété quadridimensionnelle munie d'une métrique Riemanienne.
Dans le modèle Janus on introduit deux métriques, associées à une unique variété, d'où cette confusion avec le bimétrique des gens des gravitons massifs. Ca n'a rien à voir. Ces deux métriques sont alors solution du couple d'équations de champ indiqué plus haut. Alors, l'approximation Newtonienne fournit un schéma drastiquement différent.
- Les masses de même signes s'attirent selon la loi de newton
- Les masses de signes contraires se repoussent, selon "anti-Newton"
Nouveautés Guide (Index) Page d'Accueil