Acheronta  - Revista de Psicoanálisis y Cultura
De la estructura del lenguaje en Jacques Lacan
Fabian Becerra Fuquen

Imprimir página

Lacan desarrolla su teoría del lenguaje bajo los fundamentos teóricos del orden de la ciencia del lenguaje (la lingüística) y por otra parte del estructuralismo, al mismo tiempo hace uso de herramientas matemáticas y topológicas para hacer más inteligible algunos postulados. “Para que Lacan introdujera el concepto de inconsciente en sus elaboraciones fue necesario que en él tuviera lugar la síntesis de múltiples pensamientos de otros autores” (Fernández, 2001:163), sin embargo, esta construcción de Lacan, no se trata de una extensión de estas disciplinas, sino del uso de sus elementos que con ciertos giros permiten enriquecer la teoría psicoanalítica, ya que este autor efectúa un retorno a Freud, sin dejar de lado, algunos de estos elementos que le permitieron pensar una nueva teoría de la estructura del lenguaje, es decir, del significante; de esta manera, hace comprensible la lógica del inconsciente. “Se comprende entonces que Lacan requería, por derecho, una teoría completa de la estructura, (…) que esta teoría sea inmediatamente un teoría del significante y que la teoría del sujeto constituya necesariamente su núcleo duro” (Milner, 2003:148). De tal razón que todo este articulado conforma uno y el mismo elemento teórico, la del lenguaje y el sujeto, que no es otra cosa que la existencia del sujeto en el campo del significante.

En consecuencia, este entramado, que no deja de ser un entramado sobre el lenguaje en Lacan, incurre para evidenciar el estatuto del sujeto. El lenguaje en Lacan, está allí para cumplir una función creadora. Crea al sujeto, quien a su vez irrumpe en el lenguaje, se trata de un vínculo reciproco. La estructura por sí misma no significa nada si no existe su expresión donde incurre siempre la cuestión del sujeto. Es el sujeto en cuanto es representado  por  un significante para otro significante, y el significante no es aprehensible en su significación si no aparece allí una señal del sujeto. Por tanto, comprendida la razón estructural que constituye el lenguaje en Lacan, es conveniente observar sus dimisiones llevadas al campo del saber del inconsciente, es decir, el sujeto como efecto.

Por consiguiente, en este texto se  desarrolla una serie de apartados que permiten pensar paso a paso la articulación entre las diferentes nociones que se ponen en juego a la hora de pensar el lenguaje y con este al sujeto. En un primer momento se despliega las nociones de lingüistería y lalengua en Lacan, para advertir dónde recae el interés del autor al momento de pensar el lenguaje y con éste el sujeto que se constituye allí, en un segundo momento, se indaga acerca de la articulación que el psicoanálisis tiene con la lingüística y estructuralismo, permitiendo ubicar sus diferencias y puntos de anclaje, para luego comprender el proceso teórico de la noción de estructura en J. Lacan, y con aquel el de la supremacía y la lógica del significante. Logrando así, un despliegue de la noción del lenguaje en Lacan, que permite pensar la constitución y estructura del sujeto que no es sino del lenguaje.

1 - De la Lingüistería y Lalengua.

Para iniciar este apartado, se cree conveniente advertir que este interés de Lacan sobre el lenguaje, y su inclusión en la disciplina del inconsciente, es decir, el psicoanálisis, no es para establecer una continuidad o evolución de las disciplinas del lenguaje, por el contrario, Lacan adecua estos elementos tomados de estas para lograr mayor comprensión en la lógica del inconsciente, a partir, de la lógica del lenguaje, por tanto, de lo que se trata en Lacan, no es otra cosa que, de la Linguistería y Lalengua.

El psicoanálisis, apunta a lo que en el habla sobresalta por su irregularidad, el lapsus o el olvido que revela irrupción de los procesos primarios, el trastorno y el corte en el flujo discursivo. Se focaliza sobre lo no sistemático ni formalizable que se ubica más allá de la lengua y de las estructuras sintácticas superficiales y profundas de la lingüística contemporánea. Su meta teórica y práctica es la de simbolizar el sexo (hacer consiente lo inconsciente) y sexualizar el símbolo (mostrando cómo ese inconsciente se presenta en el discurso concreto). Su objetivo confesado es el de desbaratar por el juego de la palabra lo que ese juego de la palabra, la significancia, ha configurado: el síntoma y, dentro de él ese síntoma privilegiado que es el fantasma imaginario del yo. (Braunstein, 1982:214). 

Así se evidencia las diferencias que distingue el lenguaje al que le interesa la lingüística del lenguaje que le interesa a Lacan, pues, al parecer son dos elementos que comparten algunas semejanzas pero de lo que habla uno y otro son en realidad cosas diferentes. Esto Lacan lo advierte con sus palabras: “apropósito de esa hiancia que he querido expresar un día, distinguiendo de la lingüística lo que yo hago aquí, esto es, lingüistería”. (Lacan, 2001).
La lingüística escapa a aquello con lo que Lacan sitúa lo inconsciente, pues, mientras que a la lingüística le interesa las regularidades en el decir y en el relato, en relación a los signos y las cosas, al psicoanálisis, le interesa al sujeto, al sujeto lingüista, es decir, el ser-hablante, el parlêtre, donde irrumpe el deseo con respecto al goce, dando cabida a lo que Lacan llama la Lingüetería: “es crucial comprender que este nombre se forma como un nombre de artesanado (respetable: carpintería, panadería, etc.) y sobre la palabra lingüista antes que sobre la palabra lingüística.” (Milner, 2003: 152). Aquí, está implícita la cuestión de la función del lenguaje, donde se encuentra el sujeto traspasado por el efecto del lenguaje, dividiéndolo. Por ello su acento al final, en la lingüi-tería, porque de lo que habla es de la hiancia, de las grietas que ha dejado la incursión del lenguaje en el sujeto.

Ahora, esta lingüistería advierte su propia construcción del lenguaje, por tanto, es del lenguaje de la lingüistería de la que habla Lacan, más que del lenguaje de la lingüística, sin embargo, su acabado proviene de él, por tanto, más que tratarse de un desarrollo sobre “la lengua”, se trata, de un desarrollo sobre “la Lalengua”.

En la lingüística, la lengua es un tramado de signos que advierten un sistema convencional en una comunidad, por tanto, cada comunidad tiene su lengua, y lo que plantea Jacques Lacan, es que a pesar de ello, existe otra lengua, para ir más lejos, Lalengua del Otro que interviene en el sujeto, haciéndola única para cada ser-hablante.

Lalengua, como se ve, queda ubicada entre el lenguaje y el inconsciente, producto, este último de la reflexión psicoanalítica (ya que no hay inconsciente sin el psicoanálisis). Lalengua puede ser definida como aquello que de lo simbólico, del lenguaje, es estructurante del sujeto, como la forma en que el lenguaje se encarna en un cuerpo y se hace cuerpo. La lengua nos afecta de entrada por todo lo que ella conlleva como efectos que son afectos… Estos afectos son los que resultan de la presencia de lalengua en tanto, que por saber, ella articula cosas que van mucho más allá de eso que el ser hablante sostiene de saber enunciado… el inconsciente es un saber, un saber hacer con lalengua. (Braunstein, 1982:220).  

En consecuencia, es en y por lalengua donde el sujeto se constituye como hablante, como parlêtre, tachado por el significante, representado el sujeto por Lacan con una barradura ($), producto del proceso de castración, ya que “lalengua, es el escenario donde confluyen el deseo y la ley para configurar un sujeto hablante”. (Braunstein, 1982:216).
Ahora, todo este entramado no es comprensible, sin antes alcanzar algunos elementos de la estructura que sostiene este lenguaje que irrumpe en el ser del sujeto, dando lugar al psicoanálisis y en consecuencia, a lo humano, por tanto, es conveniente iniciar todo el proceso de aprehensión del lenguaje en Lacan, a partir de la comprensión de su estructura, saber cómo está estructurado el lenguaje en Jacques Lacan, y con ello comprender su función en relación al sujeto.

2 - Del estructuralismo a la estructura del lenguaje en Lacan.

El estructuralismo se percibe diverso y ramificado, debido a los diversas disciplinas donde éste se desarrolla: la filosofía, la antropología, psicología, literatura, etc., sin embargo, si es posible hablar de este movimiento, no es por su objeto, porque este varía dependiendo la disciplina, “si cabe hablar, pues, de estructuralismo en singular lo es en función del método” (Bolívar, 1990:9), es decir, tales ramificaciones son consideradas estructuralistas porque tienen elementos de familiaridad como punto de convergencia en el método. Su influencia metodológica parte del análisis estructural de la lingüística de De Saussure, debido a que toda extensión humana está constituida por funciones simbólicas (sistema de signos), por tanto, en el estructuralismo se agrupan todas aquellas disciplinas que tratan los hechos sociales y culturales como signos, o sea, como significado y significante (concepto e imagen acústica). Y esto se evidencia en las palabras de quien es considerado el autor más representativo del estructuralismo, Claude Lévi-Strauss: 

El lenguaje aparece también como condición de la cultura en la medida que ésta posee una arquitectura similar a la del lenguaje. Una y otra se edifican por medio de operaciones y correlaciones, es decir, de relaciones lógicas. De tal manera que el lenguaje puede ser considerado como los cimientos, destinados a recibir las estructuras que corresponden a la cultura en sus distintos aspectos, estructuras más complejas a veces, pero del mismo tipo que las del lenguaje. (Lévi-Strauss, 1994:110).

Así, surge un carácter dinámico que descansa bajo la idea de estructura, que es opuesta a la razón analítica y a la razón histórica, pues, la razón estructural, “no es el paso de lo complejo a lo simple o viceversa, sino <<la sustitución de una complejidad menos inteligible por otra más inteligible>> (…) [de tal manera que] las estructuras no son, en última instancia, realidades empíricas observables sino –metodológicamente hablando– principios explicativos” (Bolivar, 1990, pp.11-38), que se sostienen a partir de la lógica interna (estructura) que explican los cambios. De esta forma, se subraya los intereses del estructuralismo, en relación al objeto, pues, no le interesa plantear problemas de génesis (diacronía), advirtiendo la razón analítica e histórica, sino problemas de estructura (sincronía), es decir, localizar o identificar una operación como estado interno de un sistema, dando primacía a las articulaciones de los signos, apartando por tanto, cualquier preocupación por la cuestión de la verdad y sentido del objeto o hecho, pues, se parte del principio metodológico: “el acontecimiento debe ser suspendido, en cuanto factum portador de un sentido o valor, para remplazarlo por la productividad de la estructura que es la matriz de nuevas situaciones internas del sistema.(…) [Este sistema se trata del] agrupamiento de operaciones y transformaciones de sus propios estados según el código estructural” (Bolívar,1990:13). Al darle primacía a la estructura, se excluye y descentra al sujeto como factor explicativo, dejando de representar el papel central de la verdad, para pasar a ser un simple nudo en la red de la estructura, evidenciando la función del lenguaje, pues, se puede anticipar con Lacan que “seguir la estructura, es asegurarse del efecto del lenguaje” (Lacan,1980:16).

A lo anterior se añade, que al estructuralismo sólo le interesa la actualidad del orden estructural que compone el todo del evento u objeto, en otras palabras, se adapta a la nueva situación y en este adaptarse se integra la historia del evento en su estado actual (en el plano sincrónico), a partir del evento estructurado por sus propias partes, y sólo desde éstas se comprende su totalidad, pero no se trata de una totalidad determinada simplemente por sus partes, sino por la articulación interdependiente de éstas, de tal manera, que no se puede tomar una parte por si sola como independiente, sino como parte de un todo estructural, pudiendo determinar una cadena,  hasta el punto en que una modificación cualquiera de una de estas partes, acarrea una modificación de todas las demás; este dinamismo, es lo que permite que haya estructura.

Otro elemento que aparece de manera trascendental en el estructuralismo, es precisamente ese carácter de dirigirse a lo que aún siendo desconocido adopta una condición inteligible trascendiendo el carácter cartesiano, que socavaba el acceso al nivel de lo real inconsciente, que por medio de la estructura se evidencia un dinamismo que antes parecía inexistente, pero que en realidad permanecía oculto. Entonces, el estructuralismo permite pasar de los hechos u objetos estrictamente manifiestos, que son puro acto de conciencia, a lo latente, es decir, a lo estructural, aquellos hechos u objetos que permanecen ininteligibles para hacerlos inteligibles, a partir de un orden estructural, evidenciando de esta forma, que todo hecho de superficie posee un cuerpo en lo profundo, donde se encuentra su “real” comprensión. El estructuralismo en este sentido hace desvanecer los misterios, y expone las ideas teóricas con claridad a partir de correlaciones lógicas elementales que al combinarse pueden tornarse complejas.

Por otra parte, para comprender mejor la noción de estructura es conveniente partir del principio universal de que toda estructura se basta a sí misma y no requiere para ser captada, el recurso de elementos extraños a su naturaleza, es así mismo dinámica y autorregulativa, es decir, que “las transformaciones tienden a la conservación y equilibrio del sistema, el cual tiene primacía sobre los elementos, en el sentido que es el conocimiento del sistema el que permite el reconocimiento de los elementos” (Bolívar, 1990:37), sin embargo, debido a las ramificaciones del estructuralismo en los diversos campos donde se desempeña, una noción universal de estructura puede volverse tan incierta, como inaprensible, sólo adquiere un sentido en un aspecto plural de su noción, a partir de los intereses y desarrollos de cada una de las disciplinas que hacen parte del estructuralismo. “Uno y otro revelan los múltiples usos a los que se presta la noción, y ponen de manifiesto cuan vano seria pretender dar una definición univoca de ella una vez superado cierto nivel de generalidad.” (Viet, 1979:8).

Por tanto, para incurrir en la cuestión de la estructura pensada sólo desde el psicoanálisis, es conveniente incidir en la relación existente entre psicoanálisis y lingüística, ya que si el fundamento y reconocimiento del estructuralismo se da a partir del método de la lingüística estructural, convendría analizar esta relación con más detalle, planteando la pregunta: ¿Cuál es el interés del psicoanálisis frente a la lingüística estructural, se trata de un interés metodológico de parte del psicoanálisis sobre la lingüística, o sólo le interesa algunas propiedades del lenguaje que la lingüística establece?

2.1 - Psicoanálisis y Lingüística.

Como ya se ha enunciado, Jacques Lacan evidencia un gran interés sobre la lingüística estructural planteada por  De Saussure, sin embargo, los métodos característicos de esta disciplina no son de mayor utilidad para Lacan, su principal preocupación radica en las propiedades que la lingüística estructural expone del lenguaje, y esto se fundamenta en el aforismo: el inconsciente está estructurado como un lenguaje, “cuya interpretación inmediata es: admito que un lenguaje tiene propiedades de estructura –y esto la lingüística lo demuestra–, el inconsciente tiene las mismas propiedades” (Milner, 2003, pp.144-145), entonces, siendo la lingüística quien demuestra tales propiedades en el lenguaje, deben comprenderse con detalle para comprender tales propiedades de estructura que se evidencian en el inconsciente.

La lingüística que interesa a   Lacan es una lingüística que sostiene dos tesis: a) que se conocerá el lenguaje imponiéndose retener solamente de él las propiedades mínimas de un sistema cualquiera; pero también b) que sólo un sistema tiene propiedades. El nombre convenido del sistema cualquiera es justamente el de estructura; de ahí el nombre de estructuralismo. (…) Si el nombre del sistema cualquiera es <<estructura>>, el nombre del sistema cualquiera reducido a sus propiedades mínimas es <<cadena>>. (Milner, 2003:145). 

Ahora bien, se evidencia que el interés particular de Lacan por la lingüística, radica en la comprensión de la estructura, a partir de sus propiedades mínimas, es decir, de su cadena, pues, como se ha subrayado con antelación, la estructura está determinada por el lenguaje, puesto que la estructura presenta unas leyes internas de composición, que permiten el funcionamiento del sistema como una red o cadena de relaciones que vinculan los elementos entre sí, tal como sucede con la lengua en De Saussure, que está compuesta por una cadena de signos, que están mediados bajo la correspondencia interna entre significante y significado. De esta forma, la lingüística, trata la lengua como una estructura del que sólo interesa la cadena (propiedades mínimas) de asociación, siendo los elementos centrales de este sistema cualquiera; así, dicha cadena que se retiene en la estructura, está directamente relacionada a la relación significante y significado, “el signo es entonces el elemento; es por lo tanto, la estructura. En particular, la ontología saussureana de signo es la ontología que la estructura requiere” (Milner, 2003.157), por consiguiente, éstas son las propiedades mínimas que le interesan al psicoanálisis en Lacan, es decir, las del signo lingüístico: significante y significado.
Entonces, de lo anterior surgen dos interrogantes, el primero: ¿Cuál es la noción de estructura en Jacques Lacan?, y el segundo: ¿Qué empleo podría advertir Jacques Lacan sobre estas propiedades mínimas (significante y significado) en su desarrollo teórico?  En primera instancia es conveniente esclarecer la primera cuestión, para poder continuar con el segundo interrogante.

2.2 - Noción de estructura en Lacan.

La noción de estructura formulada por Jacques Lacan tiene sus influencias de manera considerable de la teoría de Claude Levi-Strauss, quien recogió los trabajos sobre este concepto de la base teórica de la  lingüística de Ferdinand De Saussure; quienes han sido vinculados al movimiento denominado estructuralista, al que también se le ha atribuido a Lacan algún acercamiento, sin embargo, éste, prefiere no ser asociado en aquel movimiento, ya que su enfoque plantea elementos disimiles, por tanto, Lacan, es asociado al estructuralismo con tesis que al mismo tiempo lo separan de él.

De acuerdo con lo anterior, se parte de las características y principios de la estructura ya enunciados con antelación, donde la identidad de la estructura se desarrolla bajo los principios de autorregulación, transformación y totalidad, puesto que éstos son parte de las reflexiones de Lévi-Strauss, y podrían resumirse en las siguientes cuatro condiciones que propone este autor:

En primer lugar, una estructura presenta un carácter de sistema. Consiste en elementos tales que una modificación cualquiera en uno de ellos entraña una modificación en todos los demás. En segundo lugar, todo modelo pertenece a un grupo de transformaciones, cada una de las cuales corresponde a un modelo de la misma familia, de manera que el conjunto de estas transformaciones constituye un grupo de modelos. En tercer lugar, las propiedades antes indicadas permiten predecir de qué manera reaccionará el modelo, en caso de que uno de sus elementos se modifique. Finalmente, el modelo debe ser construido de tal manera que su funcionamiento pueda dar cuenta de todos los hechos observados. (Lévi-Strauss, 1994:301).

Así, Claude Lévi-Strauss, hace aportaciones de gran magnitud no sólo a la construcción del movimiento estructuralista, a partir de su obra antropológica, sino a los avances que Jacques Lacan logra desarrollar en la comprensión del inconsciente a partir del orden estructural del lenguaje. En una pregunta hecha a Lacan en EE.UU. por su relación con Lévi-Strauss, “confesaba: le debo mucho, si no todo. Lo que no quita para que yo tenga de la estructura una visión muy distinta de la suya” (Bolívar, 1990:84). Aunque Lacan tiene gran influencia de este autor, produce su propio esbozo estructural.

A continuación, la estructura en Jacques Lacan, si bien evidencia elementos homólogos del estructuralismo fundamental, como por ejemplo, que la estructura está constituida por el lenguaje, también expone algunos cambios, en particular uno que caracteriza su noción de estructura, a saber: La falta, es decir, que si el principio fundamental del estructuralismo radica en la estructura como un sistema que se constituye por sus partes interdependientes para constituir una totalidad, en Lacan, esta totalidad, se constituye como incompleta, de tal forma, que está mediada por una falta, una ausencia de totalidad, por tal razón, Lacan enuncia: “La estructura es primero un grupo de elementos que forman un conjunto co-variante.” (Lacan, 1993:261). Aquí, remplaza el término totalidad por conjunto, pues, lo constituye como un conjunto abierto donde falta siempre algo para la totalidad, mientras una totalidad advierte desde el inicio una conclusión, un fin o limite dentro de la relación que constituye tal grupo de elementos relacionados íntimamente; para Lacan, dicha relación puede ser infinita lo que indica que cambia en estructura y significado, debido a que la variación de uno de los elementos interviene en relación al resto de la estructura, y esto determina la co-varianza del conjunto, por tanto varia también su significado; con ello, “la noción de estructura es ya en sí misma una manifestación del significado” (Lacan, 1993:262), que surge bajo la relación con algo que falta, por lo cual, las cosas ya no son concretas (por lo que la pretensión científica de la certeza y la verdad quedan excluidas, a razón de puro efecto de la estructura)  incluso el individuo. Sólo se perciben relaciones lógicas entre las partes que sostienen el conjunto co-variante que revelan significado.

Por otro lado, [Lacan] también rechaza la idea de que las estructuras son de algún modo ‘profundas’ o distantes de la experiencia; a su juicio están presentes en el campo de la experiencia misma: el inconsciente está en la superficie, y buscarlo en las ‘profundidades’ equivale a perderlo, lo mismo que con muchas otras oposiciones binarias, el modelo que Lacan prefiere es el de la banda de Moebius; así como los dos lados de la banda son en realidad continuos, también la estructura tiene continuidad con los fenómenos. (Evans, 1997:83).



Banda de Moebius

Esta figura, evidencia la continuidad de la estructura, pues, esto subvierte el modo normal (euclidiano) de representar el especio, pues parece tener dos lados, pero en realidad posee sólo uno (y sólo un borde), de esta forma, lo inconsciente en realidad es continuo con lo consciente, pues este último no es sino la evidencia del primero. Como se conoce en el psicoanálisis, la vía hacia lo inconsciente se encuentra en la manifestación que el sujeto hace de este, es decir, palabras (lapsus, chiste, relato del sueño, etc.), síntomas, etc. donde se pone a prueba al sujeto con su verdad, su verdad inconsciente, puesto que no hay ninguna otra verdad sino la de la estructura, por tanto, buscar lo inconsciente en un lugar diferente al de las manifestaciones, como se dice, equivale a perderlo.

Ahora bien, lo dicho en este apartado, advierte las propiedades mínimas del signo, que constituyen la estructura en el estructuralismo, es decir, el significante y el significado, pues, si la estructura es en sí misma la manifestación de significado, ¿el significante dónde queda?, ya que esta relación entre significante y significado advierte un vinculo reciproco tal como refiere De Saussure, ¿qué sucede con está mínima propiedad en la noción de estructura de Jacques Lacan?, lo que permite reiterar la pregunta formulada al final del apartado anterior: ¿Qué empleo podría advertir Jacques Lacan sobre estas propiedades mínimas (significante y significado) en su desarrollo teórico? 

2.3 - Primacía del Significante.

Es preciso recordar que estas propiedades mínimas son dos caras de la misma moneda que constituyen el signo lingüístico; Lacan, haciendo uso de tales propiedades de la lingüística de De Saussure, establece un cambio en el uso y sentido que plantea éste, “que originarán una mutación epistemológica radical en el campo de las elucidaciones metapsicológicas” (Dor, 2000:34), pues, es por medio de esta modificaciones que la estructura del inconsciente puede ser comprendida como la del lenguaje. Considerando, que el signo lingüístico se constituye por la relación fija y bidireccional entre significante y significado, “la lingüística, con Saussure y el circulo de Praga, se instituye por un corte que es la barra puesta entre el significante y el significado” y Lacan (1980), continua diciendo, “si tuviera que violentar ciertas connotaciones de la palabra, diría semiótica a toda disciplina que parte del signo tomado como objeto, pero para destacar que ahí precisamente se hace obstáculo a la aprehensión del significante como tal” (p.10), por lo que  Lacan, no refiere esa misma relación, por el contrario, enuncia una primacía por parte del Significante, quiere decir esto, que el Significante es superior a cualquier otra propiedad del lenguaje, es decir, que está por encima del significado. Tal primacía, la advierte Lacan, por el interés que despierta en él la función del significante desarrollada por Lévi-Strauss, pues “parece que esta función bastara para realizar su proyectada remodelación global de la doctrina freudiana” (Fernández, 2001:167); de igual manera, por el interés constante de Lacan sobre los procesos psicóticos, donde concluye que el delirio es una especie de invención progresiva del significante en el sentido de que el significante se liberaría poco a poco del significado (Lacan, 1993), de tal forma que el significante actúa por sí mismo en una  distorsión relacional con el significado, en la construcción de mundo en la psicosis.

De acuerdo con esto, la relación intrínseca planteada por la lingüística estructural, donde ninguno (significado y significante) se sobrepone al otro y sí se comparten mutuamente, queda excluida en su totalidad en los planteamientos de Jacques Lacan, donde se presenta la autonomía del Significante con respecto al significado.  Estas discrepancias se evidencian en el cambio del signo lingüístico al algoritmo saussureano que plantea Lacan:

Signo lingüístico (o saussureano).

 
Algoritmo saussureano.

Se establece una inversión del esquema del signo lingüístico, donde el significante pasa a estar en la parte superi­or del algoritmo, como sinónimo de primacía sobre el significado, representados con la S/s (significante sobre significado). “Lacan sostiene que hay un orden de significantes puros en el que los significantes existen antes de los significados” (Evans, 1997:178), estos significantes puros, son significantes sin significado, pero al incurrir el orden sobre estos se permite el significado (s), por ello desaparece el circulo y las flechas  que representaban la unión reciproca entre tales elementos, y la barra en el medio encarna la división entre uno y el otro y la supremacía del primero sobre el segundo. “Esto es lo que hará posible un estudio exacto de los lazos propios del significante y de la amplitud de su función en la génesis del significado” (Lacan, 1984:477).  En consecuencia, Lacan define el signo como lo que supone algo para alguien a quien hace signo de alguna cosa (Lacan, 1980:11), en oposición al significante, que representa a un sujeto para otro significante, por tal razón, el lenguaje mata la cosa, pues, el significante enlaza al sujeto sin mediación de los objetos o cosas del mundo referencial, como sucede con el signo en la lingüística.

Siendo así, el significante, para Lacan, constituye la estructura en su conjunto, por ello, es que la estructura en sí misma es una manifestación del significado, de tal forma, que el significante responde a la función de representar al significado; ahora bien, este significado adviene sólo en la relación de un significante con otro significante, pues un significante por sí sólo no significa nada, por tal razón que la propiedad mínima de la estructura, es decir, la cadena en Lacan, no está compuesta entre significado y significante como sucede en la lingüística estructural, sino por el contrario, está compuesta por la correlación entre significantes diferentes, pues el significante responde a una estructura diferencial, ya que su reconocimiento se da por tal diferencia, cada significante se define por oposición a los demás dentro de una cadena, estando entonces, la cadena conformada por la articulación entre significantes diferentes:


Que se traduciría en:


Quiere decir esto, que tras la articulación entre un significante (S) con otros significantes (S’) diferentes se determina y establece un orden en la cadena de significantes (S—>S’), y en consecuencia, de esta cadena de significantes adviene entonces un significando (s) de sujeto. De esta forma, “no hay más cadena que la cadena de significantes; no hay más organización de significantes que la organización en cadena” (Milner, 2003:147), Por lo cual, se subraya la lógica con que actúa el significante, “pues el algoritmo, en cuanto que él mismo no es sino pura función del significante, no puede revelar sino una estructura de significante. (…) Ahora bien, la estructura del significante es, como se dice corrientemente del lenguaje, que sea articulado” (Lacan, 1984:481), siendo así, el lenguaje en Lacan, no es un sistema de signos como lo era para De Saussure, sino un sistema de significantes, una cadena de significantes que por sí misma está articulada y constituye la estructura que permite comprender el orden de las cosas, y en consecuencia del sujeto. Véase otro ejemplo que permite dimensionar tal relación significante:

SIGNIFICANTES BAÑOS

El grafico de las puertas de baño, las puertas y las palabras dama y caballeros son significantes que permiten un significando. Las puertas del baño dicen que ninguna significación se va sostener sin una referencia a otra significación, por tal razón la relación entre S/s el resultado es una significación, que está en el orden de lo referencial. De tal forma que un significante por sí sólo no significa nada, sólo en la articulación con otro significante advierte un sentido.

Ahora, retomando lo particular de la falta en la noción de estructura de Lacan, se observa que la cadena de significantes advierte una ausencia que se sitúa a nivel de la estructura, que no es otra cosa que al nivel del significante, por lo cual, esa relación de cadena siempre esta mediada por la falta “en” un Significante. Hay un significante que significa una falta para cerrar la cadena. Bajo estos términos, sólo podría hablarse de cierre en la estructura, a nivel de lo inconsciente, es decir, siendo como tal una ausencia de totalidad advierte un orden en la estructura, que sólo es inscrito por la ausencia misma, convirtiéndose dicha ausencia en el elemento esencial de la estructura, en otros términos, en un significante, pues, adquiere un valor en virtud de su diferencia con los otros significantes, debido a que no es cualquier significante, es el significante que determina la estructura por ser el significante que representa la falta, completando la estructura, sin contarse.

Siendo así, en tal cadena de significantes se advierte un -1 (menos uno), se indica la falta en un significante. “Ahora bien, puesto que la batería de los significantes, en cuanto que es, está por eso mismo completa, este significante no puede ser sino un trazo que se traza de su círculo sin poder contarse en él. Simbolizable por la inherencia del (-1) al conjunto de los significantes”. (Lacan, 1985:799). De acuerdo a esto, ¿cuál sería entonces, ese significante que representa la falta?

2.4 - La lógica del significante.

La inclusión a este problema – el del “-1”–, advierte el real sentido de todo el fundamento psicoanalítico, a saber: el Sujeto. Esto, quiere decir, que en todo este desarrollo estructural del lenguaje adviene el sujeto como punto esencial, y sólo bajo la inclusión que el psicoanálisis hace del sujeto en la relación con el significante, es que surge la falta en la estructura. No podría existir otra forma de establecer un -1 en la estructura que poniendo al mismo nivel de lo humano, al lenguaje. De tal manera que el significante cobra importancia bajo dicha relación. “Todo ese significante, se dirá, no puede operar en tanto presente en el sujeto” (Lacan, 1984:484), y de igual manera, el sujeto no existe en tanto no es representado por un significante. Por su puesto, al intervenir al sujeto en el orden del lenguaje, Lacan convoca y pone a prueba el inconsciente planteado por Freud. Por tanto, lo que es analizable lo es en tanto que está articulado en lo que hace la singularidad de la historia del sujeto, que no es otra cosa que sus significantes.

En consecuencia, surge un cambio en la definición del Significante, pues, ya no es una imagen acústica como en la lingüística, ahora, el sujeto está en medio como efecto de significación, y que el sujeto pueda reconocerse allí, es porque esta ya puesta la transferencia en la clínica que la constituye. Es así que,  para Lacan un Significante es “lo que representa al sujeto para otro significante. Este significante será pues el significante por el cual todos los otros significantes representan al sujeto: es decir que a falta de este significante, todos los otros no representarían nada.” (Lacan, 1985:799). De ello resulta el algoritmo:


Siguiendo el orden, se establece la relación en la cadena, donde un significante primordial o Significante Amo (S1), representa al sujeto para todos los otros significantes (S2), con ello, instituye el orden estructural en la cadena representada por la batería de Significantes (S2) que advierte un saber que permanecía desarticulado antes de la inclusión de S1, es decir, la articulación de un conjunto de significantes diferentes (S2) cobran sentido para el sujeto sólo por la intervención de este S1, que establece una ley de diferencia sobre S2, pues, sin este significante primordial, los otros significantes no representarían nada. Para hacer más comprensible dicha relación se puede hacer uso de una metáfora: siempre que tomamos un rompecabezas, todas las fichas son diferentes en contenido, pero existe una ficha clave que permite establecer la orientación y organización de las demás fichas, que a su vez advierten un contenido que es parte del conjunto, por tanto estas permanecería desencajadas si se llegase a extraviar la ficha clave, de tal manera, que sólo con la inclusión de la ficha clave, las demás fichas podrían adquirir un orden y por tanto un sentido, donde se podrían unir los contenidos de cada una de las fichas para conforman el contenido total del rompecabezas. Como el rompecabezas actúa la cadena S1—S2, es el primero quien permite que el contenido (saber) del segundo adquiera un orden y por tanto un sentido de y para el sujeto.

Con todo esto, los significantes, como se ha dicho, son en relación al valor adquirido dentro del sistema al que pertenecen, en virtud de sus diferencias con los otros elementos del sistema, es decir, de los otros significantes, por ello su representación en S1 y S2. Por esta cualidad, de valor adquirido, los significantes pueden ser tanto entes lingüísticos y no lingüísticos, como por ejemplo, palabras, frases, oraciones, morfemas y fonemas, al igual que, cualquier objeto, relaciones y actos sintomáticos. Esta naturaleza diferencial del significante implica que nunca pueda tener un sentido fijo, su sentido varía según la posición que ocupa en la estructura, pues no tiene otro sentido sino de metáfora, que se desplaza en la cadena metonímicamente, hasta abrocharse con otro significantes; por ello, en el psicoanálisis, el sujeto se comprende por su particularidad estructural, pues, lo que determina al sujeto, no es alguna supuesta esencia, sino simplemente su posición con respecto a los otros sujetos y a los otros significantes. (Evans, 1997).

Por consiguiente, comprendido esta lógica del significante, es posible comprender el orden del significante que representa la falta. Lacan, articula elementos de la lógica matemática y la topología, para hacer posible la representación de la existencia de aquello que falta, a partir del matema: S(/A), y se lee: “Significante de una falta en el Otro, inherente a su función misma de ser el tesoro del significante. (…) [Lo que ahora se propone] se sitúa en el punto en que toda cadena significante se honra en cerrar el círculo de su significación” (Lacan, 1985:798), pero dicho cierre, como se ha dicho sólo se da a nivel inconsciente. Por ello, este significante determina el orden y sentido de la estructura, que es al mismo tiempo el orden y sentido de lo humano. Entonces, este S(/A), actúa como significante primordial en la cadena de significantes, de lo cual, “el campo del significante es el campo del Otro, que Lacan llama la batería de los significantes.” (Evans, 1997:177).

El significante se inscribe más bien como una ley de diferencia, entorno a una especie de hueco estructural. La cadena se constituye por marcas diferenciales que funcionan centradas en la carencia del Otro, algo así como un significante originario desde donde se trama la combinación significante, pero que no es nada en sí mismo. La lógica diferencial determina pues todo el orden del significante; ese juego es el que puede llamarse ‘lógica del significante’ y que paradójicamente gira alrededor de un hueco o una falta. (Fernández, 2001:190). 

Esto se ve representado claramente en lo que Lacan llama la topología del toro:

image015

Figura3%20Topologer%EDa

Esta figura ilustra ciertos rasgos de la estructura del sujeto: “en su forma más simple es un anillo, un objeto tridimensional que se tiene tomando un cilindro y uniendo sus dos extremos, (…) su centro de gravedad cae fuera de su volumen, así como el centro del sujeto esta fuera de él; el sujeto esta descentrado, es excéntrico” (Evans, 1997:190). Así, el toro, evidencia el dinamismo por el que se mueve el significante, pues, establece un orden en la cadena, pero dicho orden gira en torno a un hueco o falta que determina su relación significante, pero que por sí mismo no se cuenta como dentro. El centro de la cadena es el hueco que lo determina como tal, dentro, los anillos giran y se articulan formando el cilindro, pero tras la articulación de los anillos que conforman la cadena, se establece también otro hueco en su interior, que es el hueco interno del cilindro.  Esto representa, “anillos cuyo collar se sella en el anillo de otro collar hecho de anillos” (Lacan, 1985). El sujeto también está hecho por un hueco, una falta que lo descentra y determina su significación. Es evidente que de esta manera es que se constituye su estructura.

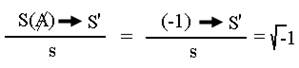
Por otra parte, este significante de la falta, refiere a lo imposible e inefable, “es lo que falta al sujeto para pensarse agotado por su cogito, a saber lo que es impensable” (Lacan, 1985:799), y por tanto impronunciable, sin embargo, siendo así mismo impronunciable, Lacan hace uso de las operaciones, para poder enunciarlo y en consecuencia evidenciarlo, por lo cual, el S(/A), sólo puede ser incluido en la batería o cadena de los significantes como -1 (menos uno), lo que daría por resultado √-1 (raíz cuadrada de menos uno) al incluir tal significante en la operación de la cadena:


El S(/A), siendo  “-1” da lugar a un orden en la cadena, este orden es posible por esa inclusión del significante, es decir, que tras tal inclusión en la cadena se cierra el círculo de su significación. En la obra de Lacan, la significación no es un vínculo entre el significante y el significado (como ocurre en De Saussure) sino un proceso: el proceso por el cual el juego de los significantes produce la ilusión del significado.  Quiere decir esto, que la significación se asocia con una verdad (inconsciente) que tiene efectos para el sujeto, es el proceso por el cual se produce el efecto de sentido o de significado, pero dicho sentido actúa en un orden de ilusión (virtual-imaginario), por lo tanto, la cadena sólo se cierra en este ámbito virtual, por tal razón que el resultado arroja la √-1 (raíz cuadrada de menos uno), pues, este símbolo permite tal efecto de cierre en la significación.

Ahora, este símbolo en su realidad como operación aritmética, es por si solo ilógico, pues, no existe algún número que multiplicado por sí mismo de -1, que equivaldría a la operación de √-1, es decir, aritméticamente no existe y por tanto es un error, sin embargo, los matemáticos tras la imposibilidad de ser representado en cifras, vieron la necesidad de inventar un elemento que representara tal función y diera lugar a la operación, utilizando entonces, la letra “i”, de imaginario, para representarla, con esto, por ejemplo podría existir la √-4 (raíz cuadrada de menos cuatro), que daría por resultado 2i. Así, “i” se lo podría definir como un símbolo que representa una idea abstracta, pero precisa, y que además obedece a todas las reglas de la aritmética, hecho que justifica su existencia. (Sauval, 1998). Esto lo ratifica Lacan, al enunciar que  “el símbolo √-1, que también se escribe i en la teoría de los números complejos, sólo se justifica evidentemente no aspirando a ningún automatismo en su empleo subsiguiente” (Lacan, 1985:801), de tal forma, que su función es eficaz en la teoría del significante, siendo parte la relación en cadena y no como autónomo. 

El punto que importa aquí es que "i" representa, en el álgebra actual, la cerradura del cuerpo R, donde R es el conjunto de los números reales. Se dice que es un "cuerpo" (una de las tantas estructuras algebraicas conocidas) porque tiene dos operaciones, suma y multiplicación, ambas conmutativas, asociativas, que tienen neutro, y donde hay inverso.  El número "i" es lo mínimo que hay que agregar para que R se aumente y se transforme en un cuerpo algebraicamente cerrado. El "i" es lo mínimo que hace falta agregar para que TODO polinomio tenga 'resolución' (i.e., al menos una raíz). Si no fuera por el "i", hay muchos que se quedan afuera. (Sauval, 1998).

Esto indica, que es gracias a “i” que se cierra el conjunto de los números reales en la aritmética, por tanto, dicha función es representativa en el ámbito del significante, pues, es gracias a este símbolo √-1, que se representa el cierre en la significación de la cadena, y no sólo en el ámbito imaginario de totalidad, sino como se demuestra en su operatividad. En consecuencia, “Lacan tomó entonces un desarrollo matemático de los últimos tiempos que rompe por completo con el sentido común: un número que tiene la propiedad de no ser ningún número, y sobre el cual reposa, por ejemplo, ni más ni menos que todo el edificio de la física moderna" (Eidelsztein, 1995, citado en Sauval, 1998).

Bibliografía.

Bolivar Botía, Antonio. (1990). El estructuralismo: De Levi-Strauss a Derrida. Bogotá, Colombia: Editorial Cincel, S.A. 
Braunstein, Nestor. (1982). El lenguaje y el inconsciente freudiano. México D.F., México: Siglo XXI.
De Saussure, Ferdinand. (1945). Curso de Lingüística General. Buenos Aires, Argentina: Editorial Losada, S.A.
Dor, Joël. (2000). Introducción a la lectura de Lacan. El inconsciente estructurado como un lenguaje. Barcelona, España: Gedisa editorial.
Evans, Dylan. (1997). Diccionario Introductorio de Psicoanálisis Lacaniano. Buenos Aires, Argentina: Paidós.
Fernández, Mauricio. (2001). Del inconsciente freudiano al significante lacaniano. Medellín, Colombia: Editorial Universidad de Antioquia.
Lacan, Jacques. (1980). Radiofonía & Televisión. Barcelona, España: Editorial Anagrama.
Lacan, Jacques. (1984). Función y campo de la palabra y del lenguaje en el psicoanálisis. En: Escritos I.  México: Siglo XXI Editores.
Lacan, Jacques. (1984). La instancia de la letra en el inconsciente o la razón desde Freud. En: Escritos I.  México: Siglo XXI Editores.
Lacan, Jacques. (1985). Subversión del sujeto y dialéctica del deseo en el inconsciente freudiano. En: Escritos II. México: Siglo XXI Editores.
Lacan, Jacques. (1993). Seminario 3. Las psicosis. Buenos Aires, Argentina: Paidós.
Lacan, Jacques. (2001). Seminario 1. Los escritos técnicos de Freud. Buenos Aires, Argentina: Paidós.
Lévi-Strauss, Claude. (1994). Antropología estructural. Buenos Aires, Argentina: Ediciones Altaya, S.A.
Milner, Jean-Claude. (2003). El periplo estructural: Figuras y paradigma. Buenos Aires, Argentina: Amorrortu.
Sauval, Michel. (1998). Ciencia, psicoanálisis y posmodernismo. En: Acheronta, revista de psicoanálisis y cultura, (Nº 7).  [online]. (extraído el 24 de agosto del 2011, desde:  http://psicomundo.com/foros/psa-ciencia/sokal-lacan1.htm)
Viet, Jean. (1979). Los métodos estructuralistas en las ciencias sociales. Buenos Aires, Argentina: Amorrortu editores.

 

Volver al sumario del Número 28
Revista de Psicoanálisis y Cultura
Número 28 - Febrero 2014
www.acheronta.org