J.LACAN
gaogoa
XVI- La logique du fantasme.
1966-1967
version rue CB
1 Mars 1967 note

(p155->)
J’ai lu quelque part ou peut-être aussi quelques-uns d’entre vous auront pu
1e rencontrer, ce singulier titre : “Connaître Freud avant de le traduire”.
Énorme ! comme disait un Monsieur à qui je ne prétends pas ressembler puisque
je ne me promène pas comme 1ui avec une canne., quoique quelque fois avec un
chapeau. Énorme ! quoiqu’il en soit, il est clair qu’il me semble que
d’essayer de le traduire est une voie qui s’impose certainement comme préalable
à toute prétention de le connaître.
Les psychanalystes disent connaître la psychanalyse, passe encore, mais connaître
Freud avant de le traduire, suggère invinciblement cette bêtise de le connaître
avant de l’avoir lu. Ceci bien sur, supposant tout l’élargissement nécessaire
à 1a notion de traduction, car assurément, ce qui frappe, c’est que je ne
sais pas si jamais, nous pourrons avancer quelque chose qui ressemble à cette
prétention de connaître Freud, mesurez-vous bien ce que veut dire dans la
perspective que la pensée une fois parvenue au bout de son développement, que
Freud nous offre, mesurez-vous bien ce que signifie de nous avoir proposé le
modèle de la satisfaction subjective dans la conjonction sexuelle ?
Est-ce
que l’expérience d’où Freud lui-même partait, n’était pas très précisément
que c’était le 1ieu de l’insatisfaction subjective ?
(p156->)
Et la situation s’est-elle pour nous améliorée franchement dans le contexte
social que domine la fonction de l’emploi de l’individu, emploi qu’on le réglé
à h mesure de sa subsistance purement et simplement ou à celle de la
productivité qu’elle marche dans ce contexte, est-elle laissée à ce qui
serait le temps propre d’une culture de l’amour et tout ne témoigne-t-il
pas pour nous que c’est là bien la réalité la plus exclue de notre
communauté subjective ?
Sans doute est-ce là ce qui a, non pas décidé Freud à l’articuler cette
fonction de satisfaction comme une vérité, mais ce qui sans doute 1ui
paraissait à l’abri de ce risque qu’il avouait à Jung de voir une théorie
un peu profonde du psychisme retrouver les ornières de ce qu’il appelait
lui-même le fleuve de boue de 1’occultisme.
C’est bien parce qu’avec la sexualité qui, précisément avait au cours des
siècles, présidé à ce qui nous paraît ces folies, ces délires de la gnose,
de la copulation du sage et de la sofia par la voie de quel chemin, c’est bien
parce que en notre siècle et sous la règle du sujet, il n’y avait aucun
risque que la sexualité puisse se prévaloir d’être un modèle quelconque
pour la connaissance, que sana doute il a commencé cette chanson de meneur de
jeu si bien illustrée par ce conte de Grimm qu’il aimait, du joueur de flûtes
entraînant derrière lui cette audience dont on peut bien dire que quand aux
voies d’une sagesse quelconque elle représentait la lie de la terre !
Assurément, dans ce que j’ai appelé tout à l’heure la ligne qu’il nous
trace, et d’où il faut bien partir de ce qui est sacré, à savoir : la
formule de la répétition, il faut bien mesurer ce qui sépare le pantarei du
penseur antique dont il nous dit que rien jamais ne repasse dans sa propre
trace, qu’on ne se baigne pas dans le même fleuve et que cela signifie de déchirement
profond d’une pensée qui ne peut saisir le temps qu’a ce quelque chose qui
ne va vers l’indéterminable qu’au prix d’une rupture constante avec
l’absence.
Introduire là, la fonction de la répétition, qu’est-ce y ajouter ? Assurément
rien de beaucoup plus satisfaisant qu’il ne s’agit que de renouveler
toujours incessamment un certain nombre de tours. Le principe du plaisir ne
guide assurément vers rien et moins que tout vers la ressaisie d’un objet
quelconque. La notion pure et simple de décharge en tant qu’elle prendrait
son modèle sur le circuit établi du sensorium à quelque chose d’ailleurs
d’assez vaguement défini comme étant le moteur, le circuit, “stimulus
respons”, comme on dit, de quoi peut-il rendre compte, qui ne voit qu’à
s’en tenir là, le sensorium ne peut-être que le guide de ce que fait en
effet au niveau le plus simple, la patte de grenouille irritée : elle se
retire, elle ne va à rien saisir dans le monde, mais à fuir ce qui la blesse.
Ce qui assure la constante définie dans l’appareil nerveux par le principe du
plaisir qu’est-ce l’égalité de stimulation, l’isostime, dirai-je pour
imiter
(p157->)
l’isobare et l’isotherme dont je parlais
l’autre jour, ou l’isoresp, l’isorespons il est difficile de fonder
quoique ce soit sur l’isostime, car l’isostime n’est plus une time du
tout.
L’isoresp, le tâtage
de l’égalité de résistance, voilà qui, dans le monde, peut définir cet
isobare que le principe du plaisir conduira à l’organisme à filer.
Rien qui pousse dans tout
cela, en aucun cas, à la recherche, à la saisie à la constitution d’un
objet. Le problème de l’objet comme tel, est laissé intact à toute cette
conception organique d’un appareil homéostatique,
il est très étonnant qu’on en ai pas jusqu’ici marqué la faille.
Freud ici, assurément a
le mérite de marquer que la recherche de l’objet est quelque chose qui
n’est concevable qu’à introduire la dimension de la satisfaction, Ici, nous
rebutons sur l’étrangeté de ceci : qu’alors qu’il y a tellement de modèles
organiques de la satisfaction, à commencer par la réplétion digestive, et
aussi bien par quelques-uns des autres besoins qu’il évoque, mais dans un
registre différent, car il est remarquab1e que c’est précisément en tant
que ces schémas où la satisfaction se définit comme non transformée par
l’instance subjective la satisfaction vorace, est quelque chose qui peut
endormir le sujet, à la limite, mais assurément il est concevable que ce
sommeil doit le signe subjectif de la satisfaction.
Combien est-il infiniment plus problématique, de pointer que l’ordre véritable
de la satisfaction subjective est à chercher dans l’acte sexuel qui est précisément
le moins où elle s’avère le plus déchiré et ceci au point que tous les
autres ordres de satisfaction ceux que nous venons d’énumérer comme présents
dans l’évocation Freudienne, ne viennent prendre leur sens que mis dans une
certaine dépendance dont je défie quiconque de la définir, de la rendre
concevable autrement qu’à le formuler en terme de structure dans une dépendance
dis-je, disons grossièrement symbolique par rapport à la satisfaction
sexuelle.
Voici les termes dans lesquels je vous propose le problème que je reprends
aujourd’hui et qui consistent à tenter de vous donner l’articulation
signifiante de ce qu’il en est de la répétition impliquée dans 1’acte
sexuel s’il est vrai- ment ce que j’ai dit, ce que la langue promeut pour
nous, et ce qu’assurément notre expérience n’infirme pas, à savoir un
acte, après avoir insisté sur ce que l’acte comporte en lui-même de
conditionné d’abord par la répétition qui lui est un terme.
Concernant 1’acte sexuel, j’ irai plus loin, du moins pensai-je qu’il
faille aller plus loin pour en saisir la portée. La. répétition qu’il
implique, comporte si nous suivons au moins l’indication de Freud, un élément
de mesure et d’harmonie qui est assurément ce qu’évoque la fonction
directrice que lui donne Freud, mais qui est ce qui par nous est à préciser.
Car s’il y a quelque chose que promeut n’importe laquelle des formulations
analytiques c’est qu’en aucun cas, cette harmonie ne saurait être conçu de
l’ordre du complémentaire, à savoir de la conjonction du mâle (p158->)
et du femelle, aussi
simple que ce1a figure sous te mode de la conjonction de la clé et de la
serrure ou de quoi que ce soit qui se présente dans les modes habituels des
symboles gammiques, tout nous indique et ici, je n’ai besoin que de faire état
de la fonction fondamentale de ce tiers élément qui tourne autour du phallus
et de la castration, tout nous indique que le mode de la mesure et de la
proportion implique dans l’acte sexuel est d’une tout autre structure pour
dire le mot : plus complexe. C’est ce que la dernière fois, en vous quittant,
j’avais commencé de formuler en évoquant, puisqu’il s’agit d’harmonie,
le rapport dit anharmonique, ce qui fait que sur une simple ligne tracée un
segment peut être divisé de deux façons par un point qui lui
est interne, un point C entre A et B dont un rapport quelconque,
par exemple 1/2, un autre point D, extérieur, peut réaliser dans des
segments déterminés entre lui, ce point D, par exemple, avec les points
A et B du segment initial, la même proportion l/2.
Déjà,
ceci nous avait paru plus propre à assurer ce dont il s’agit d’après toute
notre expérience, à savoir : le rapport d’un terme avec un autre terme qui
se présente pour nous comme lieu de l’unité, de l’unité, j’entends du
couple, que c’est par rapport à l’idée du couple 1à où elle se trouve,
je veux dire effectivement dans le registre subjectif que le sujet a à se
situer dans une proportion qu’il peut trouver à établir en introduisant une
médiation externe à l’affrontement qu’il constitue comme sujet, à l’idée
du couple. Ceci n’est qu’une première approximation et en quelque
sorte le simple schéma qui nous permet de désigner ce qu’il s’agit
d’assurer, à savoir : la Fonction de cet élément tiers que nous voyons paraître
à tout bout de ce qu’on peut appeler le champ subjectif dans la relation
sexuelle qu’il s’agit, nous l’avons fait remarquer la dernière fois, de
ce qui subjectivement y apparaît de la façon la plus distante, à savoir son
produit organique toujours possible qu’il soit considéré ou non comme désirable,
que ce soit cet élément au premier fait si différent, opposé et pourtant
tout de suite conjoint à lui par l’expérience analytique, à savoir cette
exigence du phallus qui parait si interne dans notre expérience à la relation
sexue11e en tant qu’elle est vécue subjectivement. L’équivalence
enfant-phallus, n’est-ce pas quelque chose dont nous pouvons peut-être tenter
de désigner la pertinence dans quelque synchronie que nous devrions y découvrir
et qui, bien sûr, ne veut pas dire : simu1tanéité ?
Bien
plus, cet élément tiers n’a t-il pas quelque rapport avec ce que nous avons
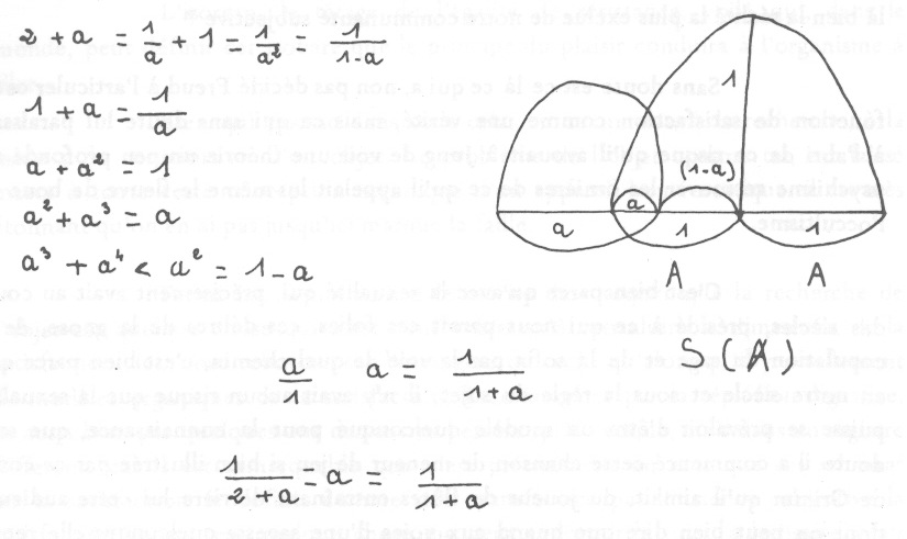
désigné comme la division de l’Autre lui-même le S (A), c’est pour vous conduire dans cette voie qu’aujourd’hui
j’apporte la relation qui est d’un ordre bien autrement structuré que la
simple approche harmonique que désignait la fin de mon dernier discours, à
savoir ce qui continue la vraie moyenne, et extrême raison, qui n’est pas
simplement le rapport d’un segment à un autre en tant qu’il
peut être deux fois défini d’une façon interne à leur conjonction, ou
externe, mais le rapport qui pose à son départ l’égalité du rapport du
plus petit ou plus grand, égalité dis-je de ce rapport, au rapport du plus
grand à la somme des deux.
(p159->)
Contrairement à
l’indétermination, à la parfaite liberté d ce rapport anharmonique qui
n’est pas rien quant à l’établissement d’une structure, car je vous
rappelle que ce rapport anharmonique, nous avons déjà eu l’année dernière
à l’évoquer comme fondamental à toute structure dite projective.
Laissons-le
maintenant, pour nous attacher à ceci, qui fait du rapport d’une extrême et
moyenne raison, non pas un rapport quelconque, si dirigeant, que celui-ci puisse
être éventuellement dans la manifestation des constances projectives, mais un
rapport parfaitement déterminé et unique, je dis : numériquement parlant.
J’ai posé au tableau une figure qui vous permet de donner à ce que j’énonce
ainsi, son support.
Sur
la droite les segments dont il s’agit : le 1er que j’ai appelé : a
qui va, pour nous, être le seul élément dont nous pourrons nous contenter
pour édifier tout ce qu’il va en être de ce rapport de mesure ou de
proportion, à cette seule condition, de donner à son correspondant vous le
voyez, je ne veux pas donner des noms de lettres aux points indiqués pour ne
pas donner de confusion, nous avons la valeur d’un, à condition de donner
cette valeur Un à ce segment, nous pouvons nous contenter, dans ce dont il
s’agit, à savoir le rapport dit de moyenne et extrême raison, lui donner
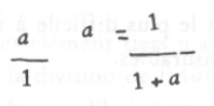
purement et simplement la valeur a, ce qui veut dire en l’occasion :
Nous
avons posé que le rapport a est le même que le rapport de
Tel est
ce rapport parfaitement fixe qui a des propriétés mathématiques extrêmement
importantes que je n’ai ni le loisir ni l’intention de vous développer
aujourd’hui. Sachez simplement que son apparition dans la mathématique
grecque coïncide avec le pas décisif à mettre de l’ordre dans ce qu’il en
est du commensurable et de l’incommensurable
En
effet, ce rapport est incommensurable, c’est dans la recherche du mode sous
lequel peut-être définie la façon dont se recouvre la succession des points
donnés par la série échelonnée de deux unités de mesure incommensurab1es
l’une à l’autre, à savoir : ce qui est le plus difficile à imaginer, la
façon dont elles s’enchevêtrent, si elles sont incommensurables.
Le
propre du commensurable c’est qu’il y a toujours un point où elles
retomberont ensemble les deux mesures, du même pied.
Deux
valeurs commensurables pourront toujours par un certain multiple différent pour
l’une et pour l’autre constituer la même grandeur. Deux valeurs
incommensurables : jamais.
(p160->) Comment
interfèrent-elles ? C’est dans la ligne de cette recherche qu’a été défini
ce qui consiste à rabattre la plus petite dans le champ de la plus grande, et
à se demander ce qui advient, du point de vue de la mesure, du reste qui est là,
qui est manifestement 1 - a, nous procèderont de la même façon, nous 1a
rabattrons a l’intérieur de la plus grande, et ainsi de suite à l’infini,
je veux dire, sans qu’on puisse arriver à ce que se termine ce processus,
c’est en ceci que consiste précisément l’incommensurable d’une relation
pourtant si simple. De tous les incommensurables celui-ci est celui qui, si je
puis dire, dans les intervalles, laisse toujours le plus grand écart, simple
indication que je ne puis ici, plus commenter.
Quoiqu’il
en soit, vous voyez qu’il s’agit de toutes façons, de quelque chose qui
dans cet ordre de l’incommensurable se spécifie d’une accentuation en même
temps que d’une pureté de la relation toute spéciale.
A mon grand regret, car je pense que tous les boyaux de l’occultisme vont frémir
à l’occasion, je suis bien obligé par honnêteté de dire que ce rapport
“a” est ce qu’on appelle le nombre d’or, à la suite de quoi bien sûr,
vont vibrer dans les tréfonds de votre acquis culturel, quant à l’esthétique
notamment, l’évocation de tout ce que vous voudrez : les cathédrales, Albert
Dürer, les creusets alchimiques et tous les autres trifouillages analogues !
J’espère
pourtant, que le sérieux avec lequel j’ai introduit le caractère strictement
mathématique de la chose, et ce qui d’une problématique qui ne donne
nullement l’idée d’une mesure aisée à concevoir, vous avoir fait sentir
qu’il s’agit d’autre chose.
Voyons
maintenant quelles sont certaines des propriétés remarquables de ce “a”,
je les ai écrites à gauche en haut.
Vous pouvez
voir que le fait que 1 + a soit égal à l’inverse de a, était déjà
suffisamment assuré dans les prémices données par la définition de ce
rapport. La notion qui consiste dans le rapport du plus petit au plus grand,
nous donne cette formule qui est la même que cette formule fondamentale :
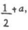
Il est facile de voir les égalités dont le caractère est caduque.
La chose importante à marquer est que le l - a peut être égalé à 2. Que le 2+ a qui représente ce qui se passe, quand au lieu d’involuer
sur lui-même les rabattements des segments on les développe au contraire vers
l’extérieur, à savoir : que le
,
à savoir ce qui correspondait à notre segment externe dans le
(p161->)
rapport anharmonique, il est égal à
1, étant obtenu par le développement extérieur du 1 que représente la plus
grande longueur, le
a la même valeur que cette valeur initiale d’où nous sommes
partis, c’est-à-dire : a, c’est-à-dire
,
Telles sont les propriétés
de la moyenne et extrême raison en tant qu’elles peuvent nous permettre de
comprendre quelque chose à ce dont il s’agit dans 1a satisfaction génitale,
Je vous l’ai dit,
“a” est l’un des termes quelconques de cette relation génitale, je
dis l’un des termes quelconques, quelque soit son sexe. La fille comme le garçon
dans le rapport sexuel l’expérience de la relation subjective en tant que
l’analyse la définit comme oedipienne, la fille comme le garçon y entrent
d’abord comme enfant, autrement dit, comme d’ores et déjà représentant le
produit (je ne donne pas ce terme au hasard, nous aurons à le reprendre par la
suite en tant qu’il permet de situer comme différent de ce qu’on appelle la
création ce qui de nos jours circule comme vous le savez partout et même à
tort et à travers sous le nom de : production).
C’est de ce qui doit être
proposé à la pensée que ce rapport qui doit être défini du sujet comme tel
à ce qu’il en est de la production. Quoique ce soit, je dis dans une
dialectique du sujet qui puisse être avancée, où l’on ne voit pas comment
le sujet lui-même peut être pris comme production, tout ceci est pour nous
sans valeur, ce qui ne veut pas dire qu’il ne soit pas si aisé d’assurer à
partir de cette racine, ce qu’il en est de la production.
C’est si peu facile à
assurer, qu’il y a quelque chose dont assurément un esprit non prévenu
pourrait bien s’étonner, c’est le remarquable silence où se tient la
psychanalyse concernant cette délicate question qui est pourtant, je dois dire
qui “couratte” un tant
soit peu dans notre vie journalistique, domestique, journalière et tout ce que
vous voudrez, même mercantile, qui s’appelle : le birth-contrôle. On
a encore jamais vu un analyste dire ce qu’il en pensait.
C’est tout de même
curieux dans une théorie qui prétend avoir quelque chose à dire sur la
satisfaction sexuelle ! Il doit bien y avoir quelque chose de ce côté là qui
a le plus étroitement à faire avec la religion (de façon pas commode) du
verbe puisque assurément après les espoirs très étonnants concernant la libération
de la loi qui correspond à la génération paulinienne dans l’église, il
semble que dans la suite beaucoup d’énonciations dogmatiques se soient infléchies
au nom de quoi ? Mais de 1a production, de la production d’âmes, non de la
production des âmes, c’est annoncée comme très proche du passage de
l’humanité à la béatitude, a subi me semble-t-il, un certain atermoiement,
Mais i1 ne faut pas croire que (p162->)
le problème se limite à la sphère religieuse, une autre annonce ayant été
apportée de la libération de l’homme, il semble que la production des prolétaires
ait joué quelque rôle dans les formes précises que ce sont trouvées prendre
les sociétés socialistes à partir d’une certaine idée de l’abolition de
l’exploitation de l’homme par l’homme.
Du côté de cette
production là il ne semble pas qu’on soit arrivé à une mesure beaucoup plus
claire quant à ce qu’on produit, de même que le champ chrétien au nom de la
production d’âmes a laissé paraître au monde des êtres dont le moins
qu’on puisse dire que la qualité anémique est bien mêlée, de même au nom
de la production des prolétaires il ne semble pas qu’il vienne au jour autre
chose que ce quelque chose de respectable certes, mais qui a ses limites et
qu’on pourrait appeler la production de cadres.
Cette question de la
production et du statut du sujet en tant que produit, nous le voilà présentifié
au niveau de quelque chose qui est bien la première présentification de
l’Autre en tant que c’est la mère. On sait 1a valeur de fonction
unifiante de cette présence de la mère. On le sait tellement bien que toute la
théorie et la pratique analytique y a littéralement basculé et a complètement
succombé à sa valeur fascinante.
Le principe et
l’origine de ceci, vous avez pu l’entendre soutenir dans un débat qui a
terminé notre année dernière, toute la situation analytique a été conque
comme reproduisant idéalement, je veux dire comme se fondant l’idéal de
cette fusion unitive ou de cette unification fondante qui est censée avoir uni
pendant 9 mois (je l’ai rappelé la dernière fois) l’enfant et de la mère.
Assurément, c’est précisément de ne pas faire de cette union de l’enfant
et de la mère de quelque façon que nous la qualifions que nous en fassions ou
non la fonction du narcissisme primaire, ou simplement le lieu élu de la
frustration et de la gratification, c’est précisément de ceci qu’il
s’agit : c’est-à-dire non pas de répudier ce registre mais de le remettre
à sa juste place que vont ici nos efforts théoriques, c’est en tant qu’il
est quelque part, et je dis au niveau de 1a confrontation sexuelle, cette première
affirmation de l’unité du couple comme constituée par ce que l’énonciation
religieuse a formulé comme l’une seule chair, quelle dérision ! Qui peut
affirmer en quoi que ce soit que dans l’étreinte dite génitale l’homme et
la femme fassent une seule chair ? Si ce n’est que l’énonciation re1igieuse
ici recourt à ce qui est mis par l’investigation analytique à ce qui, dans
la conjonction sexuelle est représenté par le pôle maternel.
Je me répète, ce pôle
maternel dans le mythe oedipien semblait se confondre, donner purement et
simplement le partenaire du petit mal, n’a en réalité rien à faire avec
l’opposition mâle-femelle, car aussi bien, la fille que le garçon
a à faire à ce lieu maternel de l’unité comme lui représentant ce à quoi
il est confronté au moment de l’abord de ce qu’il en est de la conjonction
sexuelle.
Pour le garçon comme pour la fille, ce qu’il est comme produit, comme
“a”, à (p163->)
se confronter avec l’unité instaurée par l’idée de l’union de
l’enfant à la mère et c’est dans cette confrontation que surgit ce 1 -
a
qui va nous apporter cet élément tiers en tant qu’il fonctionne également
comme signe d’un manque où si vous voulez encore, pour employer le terme
humoristique de la petite différence, de la petite différence qui vient jouer
1e rôle capita1 dans ce qu’il en est de la conjonction sexuelle en tant
qu’elle intéresse le sujet.
Bien sûr, l’humour, ou
le sens commun comme vous voudrez, fait de cette petite différence le fait que
comme on dit les uns en ont une et les autres, pas. Il ne s’agit nullement de
ceci en fait, car le fait de ne pas l’avoir joue pour la femme, comme vous le
savez, un rôle aussi essentiel, un rôle aussi médiateur et constitutif dans
l’amour que pour l’homme. Comme Freud l’a souligné, il semble que son
manque affectif lui confère là quelques avantages.
C’est ce que je vais
essayer de vous articuler maintenant.
En effet, que
voyons-nous, si ce n’est que, comme nous l’avons dit tout à l’heure,
l’extrême raison du rapport, autrement dit, ce qui le reproduit à son
extérieur va ici nous servir sous la forme du 1 qui donne et reproduit 1a juste
proportion, celle définie par “a” à l’extérieur du rapport ainsi
défini comme le rapport sexuel. Pour que l’un des partenaires se pose
vis-à-vis de 1’autre comme un Un à égalité, en d’autres termes pour que
s’institue la diode du couple, nous avons ici, dans ce rapport ainsi inscrit
dans la mesure de la moyenne et extrême raison le support, à savoir ce second
Un qui est inscrit à droite et qui redonne par rapport à l’ensemble, à
condition que soit maintenu ce terme tiers du “a”, la proportion.
C’est là que réside
ceci, que nous pouvons dire que dans la relation sexuelle c’est pour autant
que le sujet arrive à se faire l’égal de l’Autre, ou à introduire dans
1’Autre 1ui-rnême la répétition du 1 qu’il se trouve en fait à
reproduire le rapport initial, celui qui maintient toujours instant cet
élément tiers, qui, ici est formulé par le “a”
lui-même. Autrement dit nous retrouvons le même procès que j’avais
indiqué l’autre fois :
comme
faisant partie du rapport du sujet au A
en tant que sous le mode où le division se produit le
est donné, que par rapport à ce A
c’est un
qui vient s’inscrire et que le reste y est donné par un “a”
qui en est l’élément irréductible.
(p164->)
Qu’est-ce
à dire ? c’est que nous commençons de concevoir comment il peut se trouver
qu’un organe si local si je puis dire, et en apparence fonctionnel comme le pénis
puisse ici venir jouer un rôle où nous pouvons entrevoir ce qu’il en est de
la véritab1e nature de la satisfaction dans la relation sexuelle. Quelque chose
en effet, quelque part dans la relation sexuelle, peut symboliser si l’on peut
dire 1’élimination de ce reste. C’est en tant qu’organe siège de la détumescence
que quelque part, le sujet peut avoir l’illusion, (assurément
trompeuse, mais pour être trompeuse elle n’est pas moins satisfaisante,)
qu’il n’y a pas de reste ou tout au moins qu’il n’y a qu’un reste
parfaitement évanouissant. Ceci serait à la vérité, de l’ordre du comique
et certes y appartient puisque c’est là en même temps ce qui donne sa limite
à ce qu’on peut appeler la jouissance en tant que la jouissance serait au
centre de ce qu’il en est dans la satisfaction sexuelle. Tout le schème
qui supporte fantastiquement l’idée de la décharge dans ce qu’il en est
des tensions pulsionnelles, est en réalité supporté par ce schème où l’on
voit sur la base de la fonction de la détumescence s’imposer cette limite à
la jouissance.
C’est
bien là la face la plus décevante qu’on puisse supposer à une satisfaction
si en effet ce dont il s’agissait était purement et simplement de la
jouissance. Mais chacun sait que s’il y a quelque chose qui est présent dans
la relation sexuelle c’est l’idéal de la jouissance de l’autre, et aussi
bien ce qui en constitue l’originalité subjective, car il est un fait,
c’est qu’à nous limiter aux fonctions organiques, rien n’est plus précaire
que cet entrecroisement des jouissances, s”il y a bien quelque chose que nous
révèle l’expérience, c’est l’hétérogénéité radicale de la
jouissance mâle et de la jouissance femelle, c’est bien pour cela qu’il y a
tellement de bonnes âmes occupées plus ou moins scrupuleusement à vérifier
la stricte simultanéité de leur jouissance avec celle du partenaire, à
combien de ratages de leurres et de tromperies ceci prête, ce n’est pas
aujourd’hui que j’ai réussi à en étaler l’éventail.
Il
s’agit de tout autre chose que de ce petit exercice d’acrobatie érotique.
On sait quelle place ceci a tenu dans un certain verbiage psychanalytique,
si quelque chose vient se fonder autour de la jouissance de l’Autre
c’est que pour autant la structure que nous avons énoncée fait aujourd’hui
surgir le fantôme du don. C’est parce qu’elle n’a pas le phallus que le
don de la femme prend une valeur privilégiée quant à l’être, et qui
s’appelle l’amour qui est, comme je l’ai défini : le don de ce qu’on a
pas.
Dans
la relation amoureuse la femme trouve une jouissance qui est si l’on peut dire
de l’ordre de causa sui pour autant qu’en effet ce qu’elle donne
sous la forme de ce qu’elle n’a pas est aussi la cause de son désir elle
devient ce qu’elle crée de façon purement imaginaire, et justement ceci qui
la fait objet pour autant que dans le mirage érotique elle peut être le
phallus, l’être et à la fois ne pas l’être, ce qu’elle donne de ne pas
l’avoir, devient je viens de vous le dire, la cause de son désir. Seule,
peut-on dire à cause de cela, la femme boucle de façon satisfaisante la
conjonction génitale, mais bien sûr, dans la mesure ou d’avoir fourni
l’objet qu’elle n’a pas elle n’y disparaît dans cet objet, je veux dire
que cet objet ne
(p165->)
disparaît la laissant
à la satisfaction de sa jouissance essentielle que pat le truchement de
la castration masculine, de sorte qu’en somme elle, elle n’y perd rien puisqu’elle n’y met que ce qu’elle n’a pas et que
littéralement elle le crée, c’est pour cela que c’est toujours par identification à la femme
que la sublimation produit l’apparence d’une création.
C’est toujours sous le mode d’une genèse obscure certes avant que je ne
vous en expose ici les linéaments, mais très strictement liée au don de
l’amour féminin en tant qu’il crée cet objet évanouissant et en plus en tant
qu’il lui manque qu’est le phallus tout-puissant, c’est en ceci qu’il
peut y avoir quelque part dans certaines activités humaines qu'il nous restera à examiner selon qu’e11es sont mirages ou
non de qu’on appelle,
création ou poésie par exemple,
Le phallus est donc bien, si vous le voulez par un côté, 1e pénis mais
c’est en tant que c’est sa carence par rapport à la jouissance qu’il fait
la définition de la satisfaction subjective à laquelle se trouve remise 1a
reproduction de la vie.
En fait, dans !’accouplement le sujet ne peut réellement posséder le
corps qui l’étreint, il ne sait pas les limites de la jouissance possible, je
veux dire de celle qu’il pourrait avoir du corps de l’Autre comme
tel, car ces 1imites sont incertaines et c’est tout ce qui constitue cet
au-delà que définissent scoptophyllie et sadisme, que la défaillance
phallique prend valeur toujours renouvelée, d’évanouissement de l’Être du
sujet, voilà ce qui est l’essentiel de l’expérience masculine et ce qui fait comparer cette jouissance à ce qu’on appelle le retour de la petite
mort. Cette fonction évanouissante elle, beaucoup plus directe, directement
éprouvée dans la jouissance masculine est ce qui donne au mâle le privilège
d’où est sortie l’illusion de la pure subjectivité, s’il est un instant
un quelque part où l’homme peut perdre de vue la présence de l’objet
tiers, c’est dans ce moment évanouissant où il perd parce qu’il défaille
ce qui n’est pas seulement son instrument, mais pour lui comme pour la femme,
l’élément tiers de la relation du couple, c’est à partir de là que se
sont édifiées avant même l’avènement de ce que nous appe1ons ici le statut
de la pure subjectivité toutes les illusions de la connaissance.
L’imagination du sujet de la connaissance qu’elle soit avant ou après
l’ère scientifique est une forgerie de mâle et de mâle en tant qu’il
participe de
l’impuissance qu’il nie le moins quelque chose autour de quoi se fait
l’effet de causation du désir, qui prend ce moins pour un zéro, nous
l’avons déjà dit, prendre le moins pour un zéro c’est le propre du
sujet, et le nom propre est ici fait pour marquer la trace.
(p166->)
Le rejet de la castration, marque le délire de la
pensée, je veux dire l’entrée de la pensée du je comme tel dans le réel,
qui est ce qui constitue dans notre premier quadrangle le statut du " je
ne pense pas " en
tant que seul 1e soutient la syntaxe.
Voilà
ce qu’il en est pour la structure de ce que permet d’édifier
ce que Freud nous désigne autour de la satisfaction sexue11e dans son rapport
avec le statut du sujet.
Nous
en resterons là pour aujourd’hui désignant pour la prochaine fois ce que nous avons avancé maintenant sur la fonction de l’acting-out.
note
:
bien que relu, si vous découvrez des erreurs manifestes dans ce séminaire, ou
si vous souhaitez une précision sur le texte, je vous remercie par avance
de m'adresser un
émail.
Haut
de Page
commentaire