XVI- La logique du fantasme. 1966-1967
version rue CB
26 Avril 1967 note
(p231->)

Ce dessin est imparfait.
Ces deux segments sont qualifiables de l'un et de l'Autre. (Le lieu
de l'Autre. ou A
Le lieu où
s'articule la chaîne signifiante et ce qu'elle supporte de vérité. Ce sont là
les termes de la dyade essentielle où a à se forger le drame de la
subjectivation du sexe. C'est-à-dire ce dont nous sommes en train
de parler depuis un mois et demi. Essentielle pour ceux qui ont l'oreille formée
aux termes Heideggeriens qui, comme vous le verrez ne sont pas ma référence
privilégiée, pour eux je veux dire, non pas dyade essentielle au sens de ce
qui est, mais au sens de ce qui Vest, comme s'exprime Heidegger d'ailleurs
d'une façon déjà forcée au regard de la langue allemande disons ce qui opère
en tant que connotation.
Il s'agit là de
rien d'autre que de l'économie de l'inconscient, voire de ce qu'on appelle
communément : le processus primaire. N'oublions pas que pour ces termes, ceux
que je viens d'avancer comme ceux de la dyade dont nous partons, de l'un et de
l'autre, l'un tel que je l'ai précisément articulé la dernière fois,
l'Autre dans l'usage que j'en fais depuis toujours. N'oublions pas, dis-je, que
nous avons, à partir de leur effet, leur effet a ceci de dérisoire qu'il prête
à la grossière métaphore que ce soit lui l'enfant
La subjectivation
du sexe n'enfante rien, si ce n'est le malheur. Mais ce qu'elle a produit déjà,
ce qui nous est donné de façon univoque dans l'expérience psychanalytique,
c'est là ce déchet dont nous partons comme du point d'appui nécessaire pour
reconstruire toute la logique de cette dyade. Ceci en nous laissant guider par
ce dont cet objet est la cause, vous le savez, à proprement parler est la
cause, à savoir : le fantasme. La logique s'il est vrai, que je puis poser
comme ça thèse initiale, ce que je fais, qu'il n'y a pas de métalangage,
c'est ceci, la logique qu'on peut extraire du langage nommément les lieux et
les points ou si l'on peut
Je dis excellente
car il n'a pas cherché l'impossible et que pour tous les mots dont il est
impossible de donner un équivalent sinon un équivoque, il a tranquillement
forgé, ou reforgé des mots français comme il a pu, quitte à ce qu'un lexique
à la fin donne son exacte référence allemande. Mais tout ceci n'est que
parenthèse.
Cette lecture
facile, ce qui peut-être contesté des autres textes de Heidegger, mais
celle-là extraordinairement facile, d'une note très nettement tranchante
de facilité. Il est impossible de rendre plus transparente la façon dont il
entend que se repose à notre détour historique, la question de l'Être. Ce
n'est point, certes, que je pense qu'il s'agisse là d'autre chose que d'une
lecture d'exercice et comme je le disais à l'instant de salubrité. Cela
nettoie bien des choses, mais cela ne s'en fourvoie pas moins de donner la seule
consigne d'un retour à Parménide et à Héraclite si génialement qu'il les
situe au niveau de ce méta discours dont je parle, comme immanent langage ce
n'est pas un méta langage. Le méta discours immanent au langage et que
j'appelle la logique, voilà bien sûr qui mérite d'être rafraîchi à une
telle lecture.
Certes je ne fais
usage, vous pouvez le remarquer, d'aucune façon, du procédé étymologisant
dont Heidegger fait revivre admirablement les formules dites présocratiques,
c'est qu'aussi bien la direction que j'entends indiquer diffère, diffère de la
sienne, précisément ce pépin qui est irréversible et qu'indique le sophiste,
lecture elle aussi extraordinairement facile et qui ne manque pas de faire sa référence
aussi à Parménide, précisément pour marquer combien il a été loin et vif
contre cette défense que le Parménide exprime en ces deux vers : "non jamais
tu ne plieras de force les non-être á être, de cette route de recherche
écarte plutôt ta pensée".
C'est précisément
la route ouverte dès le sophiste, qui s'impose à nous à proprement parler, à
nous les analystes, pour seulement que nous sachions à quoi nous avons à
faire. Si j'avais réussi à faire un psychanalyste lettré, j'aurais
Que les nombreux
lettrés qui peuplent cette salle se rassurent, ils ont encore leur petit reste.
Il faut que le psychanalyste arrive à concevoir la nature. de ce qu'il manie,
comme cette scolie de 1'être, cette pierre rejetée qui devient la pierre
d'angle et qui est proprement ce que je désigne par l'objet « a» et que c'est
un produit, je dis produit de l'opération du langage au sens où le terme
produit est nécessité dans notre discours par la levée depuis Aristote de la
dimension de l'ergone. du travail.
Il s'agit de
repenser la logique à partir de ce « a», puisque ce " a " si je l'ai dénommé,
je ne l'ai pas inventé, que c'est proprement ce qui est tombé dans la main des
analystes à partir de l'expérience qu'ils ont franchie dans ce qui est de la
chose sexuelle.
Tous savent ce que
je veux dire, et en plus qu'ils ne parlent que de ça, ce " a "
depuis
l'analyse, c'est vous-mêmes, chacun d'entre vous, dans votre noyau
essentiel, ça vous remet sur vos pieds comme on dit, ça vous remet du délire
de la sp(h)ére céleste du sujet de la connaissance.
Ceci étant dit, ça
explique, c'est la seule explication valable, pourquoi, chacun peut le voir, on
part dans l'analyse de l'enfant, c'est pour des raisons métaphoriques, parce
que le «a» est l'enfant métaphorique de l'un et de l'autre, pour autant qu'il
est né comme déchet de la répétition inaugurale laquelle, pour être répétition
exige ce rapport de l'un à l'autre, répétition d'où naît le sujet. La vraie
raison de la référence à l'enfant dans la psychanalyse, n'est donc en aucun
cas la graine de G'I. La fleure promise à devenir l'heureux salaud qui paraît
à M. Ericsson le suffisant motif de ses cogitations et de ses peines. Mais
seulement, cette essence problématique, l'objet «a» dont les exercices nous
stupéfient bien sûr pas n'importe où, dans le fantasme et très suffisamment
mis à exécution de l'enfant, que ce soit à leur niveau qu'on en voit les jeux
et les voies les mieux frayés, il faut pour ça recueillir des confidences qui
ne sont pas à la portée des psychologues de l'enfant. Bref, c'est ce qui fait
que le mot âme a dans le moindre des ébats sexuels de l'enfant, dans sa
perversion comme on dit, la seule, l'unique, la seule digne présence qu'il
faille accorder à ce mot : âme.
Alors, je l'ai dit
la dernière fois, l'Un c'est simplement dans cette logique, l'entrée en jeu de
l'opération de la mesure de la valeur à donner à «a ». Dans cette opération
de langage qui va être en somme (quoi d'autre se propose à nous ? ) tentative
de réintégrer ce «a » dans quoi ? dans cet univers de langage, j'ai déjà
posé au départ de cette année, qu'il n'existe pas. Pourquoi ? A cause de son
existence à lui, l'objet «a », comme effet. Donc, opération contradictoire et
désespérée dont heureusement la seule existence de l'arithmétique,
fut-elle élémentaire, nous assure que l'entreprise est féconde, car même
au niveau de l'arithmétique,
Que veut dire écrire
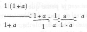
qu'il nous faut ce Un. Nous nous en contenterons pour la mesure de l'objet a.
vous soupçonnez
bien que dès que commencera ma théorie à être l'objet d'une interrogation sérieuse
de la part des logiciens, il y aura beaucoup à dire sur l'introduction ici des
trois signes qui se figurent comme + = et aussi bien entre la barre et
le « a ».
Ce sont là épreuves
auxquelles il faut bien provisoirement, pour que mon cours ne s'étire pas indéfiniment,
que vous vous fiez à ce que je les ai faites pour mon compte, n'en laissant
apparaître ici que les pointes au niveau où elles peuvent vous être utiles,
il faut remarquer cependant que si parce que ça vient tout seul, et parce que
c'est plus commode, nous avons encore assez de chemin à parcourir, j'inscris
ici tout simplement la formule qui se trouve recouvrir ce que j'ai appelé le
plus grand incommensurable, ou encore le nombre d'or, qui désigne à très
proprement parler ceci : que de deux grandeurs, le rapport de la plus grande à
la plus petite, du un au a , en l'occasion n , est le même que celui de leur
somme à la plus grande, que si j'opère ainsi, ce n'est certes pas pour faire
passer trop vite des hypothèses dont il serait fâcheux que vous les preniez
pour décisives, je veux dire que vous y croyiez trop à ce paradigme qui
simplement entend faire fonctionner un temps pour vous l'objet a comme
incommensurable à ce dont il s'agit : sa référence au sexe. C'est à ce titre
que le Un, ce sexe et son énigme est chargé de le recouvrir, mais rien
n'indique au reste, dans la formule
, que nous puissions tout de suite faire entrer
la notion mathématique de proportion tant que nous ne l'avons pas écrit
expressément ce qu'implique cette écriture telle qu'elle est là, pour
quelqu'un qui la lit au niveau de son usuel mathématique, à savoir que ce
tant que ce Un
n'est pas inscrit, la formule peut être considérée comme moins serrée, elle
n'indique rien d'autre que c'est du rapprochement du 1 au a que nous entendons
voir surgir quelque chose. Pourquoi pas à l'occasion que le 1 représente le a
,
je n'emploie guère mes symbolisations au hasard, et ceux qui ici, peuvent se
souvenir, de celles que j'ai données à la métaphore, se rappelleront que
quand j'écris la suite des signifiants avec l'indication que dans ses dessous,
cette chaîne comporte un signifiant substitué et que c'est de cette
substitution que résout le nouveau signifiant substitué au S' de ce qu'il recèle
le signifiant auquel il se substitue prend valeur de ce quelque chose que j'ai déjà
connoté, prend valeur de l'origine d'une nouvelle dimension signifiée qui
n'appartenait ni à l'un ni à l'autre des deux signifiants en cause. Ce qui n'apparaît
pas, que quelque chose d'analogue qui ne serait proprement ici que le
surgissement de la dimension de la mesure ou de la
la complète de l'un qui en était absent, quoique
immanent a
et qui, du fait, d'être
distingué dans ce second temps prend figure de la fonction ici du signifiant
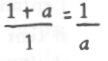
sexe en tant que refoulé. C'est dans la mesure où le rapport au Un énigmatique,
pris dans sa pure conjonction, 1 + a peut dans notre symbolisme impliquer une
fonction du 1 comme représentant l'énigme du sexe en tant que refoulé, que
cette énigme du sexe va se présenter à nous comme pouvant réaliser la
substitution, la métaphore recouvrant de sa proportion de «a » lui-même.
Qu'est-ce à dire, le Un, allez-vous m'opposer, n'est point refoulé comme
ici, où me tenant à une formule approximative, je fais une chaîne de
signifiants dont il conviendrait qu'aucun ne reproduise le signifiant refoulé
c'est pourquoi il faut que le refoulé se distingue, le 1 de la première ligne
va-t-il contre l'articulation que j'essaie de vous en donner ? Sûrement
point en ceci : ayant marqué le «a » du rapport au 1 ayant marqué sa
différence et opéré sa soustraction d'avec le 1, on peut remarquer comme je
l'ai dit : 1-a =A2 auquel succède ce A2 amené dans la première opération,
auquel succède un A3.
Toutes les
puissances paires s'ampliant d'un côté à la rencontre des puissances
impaires, leur tout réalisant cette somme, ce chiffre du 1.
Ce que nous avons
en haut de cette proportion n'est rien d'autre que A3 + A4 et ainsi de suite, ce
qui commence de A à l'infini étant égal au 1. Il en résulte que vous avez
une figure assez bonne de ce que j'ai appelé dans la chaîne signifiante,
l'effet métonymique et que j'ai depuis longtemps d'ores et déjà illustré du
glissement dans cette chaîne de la figure «a ».
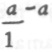
Si la mesure qui
est ainsi donnée dans ce jeu d'écriture car il ne s'agit de rien d'autre, il
est exact qu'il en découle très immédiatement, qu'il nous suffit de faire
passer ce bloc total du 1 + a à la fonction du 1 auquel il s'impose comme
substitution pour obtenir
Je peux m'offrir le
luxe, histoire de vous amuser, je veux dire, le dernier Un, de ne pas l'écrire,
reproduisant à son niveau la manœuvre de tout à l'heure, d'écrire à la
suite
lequel, si vous continuez à procéder dans la même voie, se poursuit
de la
formule
(lequel -a est = à a2 n'est rien d'autre que a) identification finale qui
en
(237->)
quelque sorte
sanctionne qu'à travers ces détours qui ne sont pas rien, puisque c'est là
que nous pouvons apprendre à faire jouer exactement les rapports de " a
" au
sexe nous ramène purement et simplement à cette identité du a.
Ceux à qui ceci
reste encore un peu difficile n'omettez pas que ce " a " c'est quelque chose de
tout à fait existant, je ne l'ai pas fait jusqu'à présent, mais je peux vous
écrire la valeur :
si vous voulez l'écrire en chiffres c'est quelque chose comme ça : 2,236067 .....
C'est un souvenir
du temps, de mon temps, on apprenait comme ça les mathématiques, il est
certain que ce ne serait pas une méthode comme critère pour les
psychanalystes, il faudrait tous ceux qui sont en usage à présent. Nous
reprendrons donc dans cette formule, ces temps pour désigner à proprement
parler dans le 1 + a le point de ses formulations qui désignent le mieux ce que
nous pouvons appeler le sujet sexuel. Si le 1 désigne en son temps premier d'énigme
la fonction signifiante du sexe, c'est à partir du moment où le 1 - a au
niveau dénominateur de l'égalité telle que nous la voyons ici se développer
toujours la même, que surgit, comme vous pouvez le voir quoique je ne l'ai pas
écrit imprudemment au niveau supérieur ce fameux 2 de la dyade qu'on ne
saurait écrire sous la forme d'un 2 sans avoir averti que cela nécessite
quelques remarques supplémentaires concernant dans cette occasion
l'associativité de l'addition, autrement dit que je détache le second 1 en
tant qu'il est dans une parenthèse pour le grouper dans l'autre parenthèse
avec le 1 qui le précède mais qui a une fonction différente.
Il n'est pas
difficile de remarquer dans ces trois termes 1 - 1 - a les
intervalles ici en cause qui mettent le «a» en problème au regard des deux
autres 1.
Qu'est-ce que
ceci peut vouloir dire ?
Pour confronter le
«a » avec l'unité ce qui est seulcment instituer la fonction de la mesure, eh
bien cette unité il faut commencer par l'écrire. C'est cette fonction que
depuis longtemps j'ai introduite sous le terme du trait unaire. Unaire, ai-je
dit, alors, où l'écrit-on ce trait unaire essentiel à opérer pour la
mesure de l'objet " a " au regard du sexe. Sûrement pas sur le dos de l'objet,
puisqu'aucun objet " a " n'a de dos. C'est à ceci, que sert je pense que vous
le savez depuis toujours, ce que j'ai appelé le lieu de l'autre en tant qu'il
est ici représenté comme appelé par toute cette démarche logique.
C'est-à-dire le lieu de l'Autre d'abord en tant que comme tel, il
introduit le redoublement du champ de l'un, c'est-à-dire encore,
que nous avons là rien d'autre à proprement parler que la figuration de ce que
j'ai articulé comme la répétition originelle, comme ce qui fait que l'Un
premier, ce 1 cher aux philosophes, qui pourtant à leur manipulation oppose
quelque difficulté, que ce 1 ne surgit en quelque sorte que rétro-actif
à partir du moment où s'introduit comme signifiant, une répétition. Ce trait
unaire, si je me souviens des cris désespérés d'un de mes auditeurs, quand
j'ai simplement ramassé dans un
. Ce qui permet aussi, dans cet article que j'ai intitulé
remarque et qui donne la formule de ce qu'on appelle dans la psychanalyse et
dans les textes freudiens l'une des formes de l'identification, l'identification
à l'idéal du moi dont j'ai passé précisément le trait dans 1'Autre comme
indiquant au niveau de l'autre cette référence en miroir d'où part précisément
pour le sujet, la veine de tout ce qui est identification, c'est-à-dire
ce qui est spécialement dans le champ dont nous , parlons aujourd'hui, de la
dyade, à distinguer comme se situant et se situant comme distinct des deux
autres fonctions qui sont respectivement celles de la répétition,
l'identification en la mettant au milieu et enfin la relation, je vous ai dit la
dernière fois ce qu'il fallait en penser concernant quoique ce soit qui puisse
s'autoriser de la dyade sexuelle.
Je l'ai qualifiée
de bouffonne cette relation dont on parle, comme de quelque chose qui aurait la
moindre consistance quand il s'agit du sexe. je voudrais ici faire une remarque
: au temps même après celui du sophiste où Aristote intervient, où il fonde
d'une façon dont il est juste de dire quelle que soit la dissolution que nous
avons su dans la suite, opérer, des opérations de la logique dont il est juste
de dire que ces catégories gardent un caractère inébranlable. je vous ai déjà
vivement incités à reprendre ce petit trait, il est purement admirable pour
tout ce qui concerne les exercices qui peuvent permettre de donner un sens au
terme de sujet. L'énumération des catégories n'est pas à refaire, celle de
lieu, de temps de quantité, de comment, de pourquoi, etc. , n'est-il pas
frappant qu'après une énumération qui reste si exhaustive, on remarque que précisément
Aristote n'a pas introduit dans les catégories cette sorte de relation qu'on
pourrait écrire, mais essayez un peu, vous m'en direz des nouvelles, la
relation sexuelle. Tous les logiciens ont pu exemplifier les différents types
de relation qu'ils distinguent comme transitives, intransitives, irréfléchies
etc, à les illustrer par exemple des termes de parenté. Untel père de A, le père
de B, le fils de A, etc... il est assez curieux que l'absence dans les catégories
aristotéliciennes de la relation sexuelle, que personne ne s'est choqué à
dire que si A est 1'homme de B et la femme de A. Cette relation, pourtant, bien
sûr, fait partie de l'autre question concernant ce dont il s'agit, à savoir la
question du statut qui fonde ces termes qui sont à proprement parler ceux que
je viens d'avancer sous la forme d'homme et de femme. Pour ce faire, il est tout
à fait vain de projeter, pour employer un terme dont le psychanalyste
use à tort et
Bien sûr, ce n'est
pas d'hier que ce glissement s'est opéré, ce n'est pas le privilège des
psychanalystes, la confusion d'un Être, quel Être suprême, avec
Un comme tel,
c'est ce qui s'incarne d'une façon éminente par exemple sous la plume d'un
Plotin, chacun sait ça. Prévalence de cette fonction médiane qui n'est pas
rien puisqu'elle opère ; je l'ai , appelée celle fondamentale de l'idéal du moi
en tant qu'en dépend tout une cascade d'identification secondaire, nommément
celle du moi idéal lequel est noyau moi, tout ceci a été exposé et inscrit
à sa place et en son temps, à soi seul fait surgir la question de quel motif
la multiplicité de ces identifications est nécessitée, il est clair de se
reporter au petit schéma optique que j'en ai donné, qui n'est qu'une métaphore,
alors que ceci n'a rien de métaphorique puisque ce sont les métaphores qui
sont opérantes dans la structure. Que le lien de l'un à l'autre, par
identification et surtout s'il prend cette forme réversible qui fait de l'Un
l'Etre
suprême est à proprement parler typique de l'erreur philosophique. Si je vous
ai dit de lire le sophiste de Platon c'est qu'on est loin d'y tomber et que
Platon est ici la meilleure référence pour en faire les preuves.
Je ne voudrais y
opposer que les mystiques pour autant que ce sont eux que nous pouvons définir,
comme s'étant avancés à leurs dépens de «a » vers cet Etre qui, lui, n'a
rien fait que de s'annoncer comme imprononçable quant à son nom par rien
d'autre que par ces lettres énigmatiques qui reproduisent la forme générale
du «je suis» non pas celui qui «suis» ni celui qui est, mais ce que je suis.
C'est-à-dire, cherchez toujours. Ne voyez là rien qui spécifie encore
qu'il mérite d'être spécifié à un autre niveau pour la référence qu'on en
fait au père, le Dieu des juifs, car le Tao s'énonce comme vous le savez de
notre temps où le Zen court les rues, vous avez bien dû récolter dans un coin
que le Tao qui peut se nommer n'est pas le vrai Tao.
Nous ne sommes pas
là pour nous gargariser avec ces vieilles plaisanteries. Quand je parle des
mystiques, je parle simplement des trous qu'ils rencontrent, je parle de la nuit
obscure par exemple, de ce qu'il peut y avoir d'unitif dans les rapports de la
créature à quoi que ce soit, il peut toujours même avec les méthodes les
plus subtiles et les plus rigoureuses s'y rencontrer un os. Les mystiques pour
tout dire, c'est, je dois dire aussi, le seul point par où ils m'intéressent,
je ne fais pas de l'acte sexuel une théorie «mystique» . Je ne parle des
mystiques que pour signaler qu'ils sont moins bêtes que les philosophes, de même
que les malades sont moins bêtes que les psychanalystes, ceci tient uniquement
à ceci : c'est que c'est une alternative renouvelée de ce que j'ai plusieurs
fois donné comme formule de l'aliénation : la bourse ou la vie, la liberté ou
la mort, la bêtise ou la canaillerie par exemple, il n'y a pas de choix quand
la question de la bêtise ou de la canaillerie se (p239->)
pose, au niveau des
philosophes ou des psychanalystes, c'est toujours la bêtise qui l'emporte
jamais 1a canaillerie !
Pour prendre ce
champ qui est entre le «a » et le A , vous voyez que j'ai dessiné deux lignes,
l'une faite simplement pour marquer que le a s'égale dans sa première partie
à ce qu'est le a externe, et qu'il y a ce reste du a - b , j'ai fait une
seconde ligne qui pourrait être la seule pour nous marquer que ce point, ce
champ est à considérer, je dis pour nous analystes, comme étant dans son
ensemble quelque chose d'au moins suspect de participer de la fonction du trou.
Je ne peux faire ne serait-ce que par reconnaissance pour la contribution
que M. Green a bien voulu apporter à mon travail, qu'introduire ici, pourquoi
pas, la référence qu'il a bien voulu y adjoindre, c'est celle qu'il a
introduite, je dois dire, ne vous laissez pas emporter, très remarquablement,
sous la forme de ce chaudron de l'Es qui a été extrait du côté de la 31 ou
32 ème conférence de Freud. Le chaudron dans une certaine image qu'on peut en
faire, ça s'exprime comme ceci : ça bout là-dedans, à la vérité,
dans le texte de Freud c'est bien de ça qu'il s'agit. Avec quelle ironie Freud
pouvait laisser passer de telles images, c'est quelque chose qu'il faudrait bien
sûr étudier, ce n'est pas à notre portée tout de suite, il faudrait
auparavant se livrer à une solide opération de décrassage de ce qui recouvre
le texte, la marée noire, n'en disons pas trop là-dessus, c'est qu'une
des choses essentielles à distinguer, c'est la différence qu'il y a entre la
pourriture et ,la merde, faute d'en faire une distinction exacte on ne s'aperçoit
pas par exemple que ce que Freud désigne, c'est ce quelque chose qu'il y a de
pourri dans la jouissance, ce n'est pas moi qui invente ce terme qui se promène
déjà dans littérature courtoise, ce sont les termes poétiques dont usent
les romans de la Table Ronde et nous les voyons repris, trouvons notre bien où
il est, repris sous la plume de ce vieux réactionnaire de T. S. Eliott sous le
titre de West-land, il sait très bien de quoi il parle, lisez-le,
c'est encore une très bonne lecture et je dois dire fort amusante, moins claire
que celle de Heidegger, il ne s'agit de rien d'autre, d'un bout à l'autre, que
de la relation sexuelle. Il s'agirait évidemment de décanter ce champ de la
pourriture du coaltère merdeux, vu la fonction privilégiée que joue dans
cette opération l'objet analys dont la théorie psychanalytique le recouvre. A
la place de ce que j'avais défini comme le Es de la grammaire, vous verrez de
quelle grammaire il s'agit, M. Green a rappelé qu'il ne fallait pas que
j'oublie l'existence du chaudron en tant qu'il fait boulouboulou... question
essentielle et je lui rends cet hommage qu'il a pris une voie très mienne
1) Il ne l'a pas
emprunté,
2) que percé, il l'était déjà,
3) qu'il l'a rendu intact.
Formule qui a toute
sa valeur d'ironie, mais qui est ici exemplaire quand il s'agit de
Je dirai que ces
trois amusantes références à l'embarras du débiteur du chaudron ne font que
recouvrir de la part des analystes un triple refus de reconnaître ce qui est
justement en jeu
1) que ce chaudron
ils ne l'ont pas emprunté, ils nient ce «ne pas» et s'imaginent
qu'effectivement ils l'on emprunté.
2) qu'il semble
qu'ils veulent oublier, tant qu'ils peuvent le faire, et comme ils le savent
fort bien pourtant que le chaudron est percé, et que de promettre de le rendre
intact est aventureux.
C'est seulement à
partir de là qu'on pourra se rendre compte de ce phénomène de vérité que
j'ai tenté d'épingler dans la formule : «moi, la vérité, je parle ». Ceci
est vrai, quoique les psychanalystes en pensent, et même s'ils veulent penser
quelque chose qui ne les force pas à se boucher les oreilles aux paroles de la
vérité, ici que nous apprend l'élément même de la théorie analytique,
sinon qu'accéder à 1'acte sexuel c'est accéder à une jouissance coupable, même et surtout si elle est innocente la jouissance pleine, celle du
roi de Thèbes et du sauveur du peuple, celui qui relève le sceptre tombé on
ne sait comment et sans descendance, pourquoi on l'a oublié ; bref, cette
jouissance qui recouvre quoi ? la pourriture, celle qui explose enfin dans la
peste, le Roi Oedipe lui, a réalisé l'acte sexuel, le roi a régné,
rassurez-vous d'ailleurs, c'est un mythe, comme les autres mythes de la
mythologie grecque, il y a d'autres façons de réaliser l'acte sexuel, elles
trouvent en général leur sanction aux enfers, celle d'Oedipe est la plus
humaine, comme nous disons aujourd'hui, dont il n'y a pas tout à fait l'équivalent
en grec où pourtant se trouve l'armoire à linge de l'humanisme.
Quel océan de
jouissance féminine, je vous le demande, n'a-t-il pas fallu pour
que le navire d'oedipe flotte sans couler jusqu'à ce que la peste lui montre
enfin de quoi était faite la mer de son bonheur. Cette dernière phrase peut
vous paraître énigmatique, c'est qu'il y a en effet ici à respecter le caractère
d'énigme que doit garder un certain savoir qui est celui qui concerne l'empen
que j'ai marqué ici par le trou. Aussi bien n'y a-t-il pas d'entrée
possible dans ce champ sans le franchissement de l'énigme, c'est vous le savez
ce que désigne le mythe d'Oedipe, sans la notion que ce savoir, que l'énigme
soit ou non résolue, que ce savoir dis-je est intolérable, à la Sphynge,
c'est ce qui présente chaque fois que la vérité est en
Quoiqu'il en soit,
Oedipe en savait un bout sur ce qui lui était posé comme question, mais
dont la forme devrait bien retenir notre perspicacité.
Le savoir est nécessaire
à l'institution de l'acte sexuel, c'est ce que dit le mythe de l'oedipe, jugez
de ce qu'il a fallu que déploie comme dissimulation Jocaste, puisque sur les
chemins de la rencontre le tukey on ne le rencontre qu'une fois dans la vie.
Oedipe n'a pas su devoir mieux l'abriter, enfin, toutes ces années que durera
ce bonheur, il fasse l'amour le soir au lit ou pendant le jour, jamais Oedipe
n'a-t-il eu à évoquer cette bizarre échauffourée qui se
produisit au carrefour avec ce vieillard qui a succombé, en plus le serviteur
qui a survécu quand il a vu Oedipe monter sur le trône est foutu le camp.
Cette impossibilité de les rencontrer n'est-elle pas pour nous évoquer
quelque chose ? Si Sophocle nous met toute l'histoire du serviteur pour nous éviter
au fait que Jocaste au moins n'a pas pu ne pas savoir. Elle le sait, c'est pour
ça qu'elle se tue pour avoir causé la perte de son fils.
Qu'est Jocaste ?
Pourquoi pas le mensonge incarné dans ce qui est de l'acte sexuel même si
personne n'a su le voir, ni le dire, c'est un lieu où l'on accède qu'à avoir
écarté la vérité de la jouissance. La vérité ne peut s'y faire entendre
car si elle s'y fait entendre tout se dérobe et le désert se fait. C'est un
lieu peuplé pourtant d'habitude le désert, à savoir ce champ X, il y a
normalement un monde fou : les masochistes, les diables, les fantômes, mais en
plus, les larves. II suffit simplement qu'on commence à y prêcher nommément
le préchi-précha psychanalytique pour que tout ce monde foute le camp,
c'est de ça qu'il s'agit, d'où en parler. La jouissance vous ai je dit n'est
pas là et a la valeur de jouissance.
Ceci est dit par
Freud dans le mythe où il révèle le sens dernier du mythe de l'oedipe,
jouissance coupable, jouissance pourrie sans doute, mais encore ce n'est rien
dire si l'on introduit la fonction de la valeur de jouissance, c'est-à-dire
de ce qui la transforme en quelque chose d'un autre ordre, le maître du mythe
que lui, Freud, forge, quelle est sa jouissance ? Il jouit dit-on de
toutes les femmes. Qu'est-ce à dire ? n'y a t-il pas là quelque énigme
? et ces deux versants du sens du mot jouir que je vous ai dit la dernière fois
: versant subjectif et objectif, est-il
Voilà ce que Freud
nous désigne du mythe du père et de son meurtre nous désigne comme étant la
fonction originelle sans laquelle nous ne pouvons nous avancer sans concevoir ce
qui va être notre problème à savoir ce qui joue dans les opérations grâce
à quoi s'échangent, s'économisent et se reversent les fonctions de la
jouissance telle que nous avons à nous y affronter dans l'expérience
psychanalytique c'est ce à quoi nous nous avancerons à partir du 10 mai.
note
:
bien que relu, si vous découvrez des erreurs manifestes dans ce séminaire, ou
si vous souhaitez une précision sur le texte, je vous remercie par avance
de m'adresser un
émail.
Haut
de Page
commentaire