Plus de deux milliards
de degrés !
L'article de Malcom Haines
Paru le 24 février 2006 dans Physical Review Letters
Mis à jour le 16 juillet 2006 ( données de bas de page sur la courbe de montée en courant dans la Z-machine )
Mise à jour du 18 mars 2008. Suite à un article publié dans la revue Science et Avenir
|
Ci-après le début de l'articles de Haines, Deeney et des autres :
![]() |
Traduisons le titre :
Chauffage visqueux des ions dans un pinch magnétohydrodynamiquement instable, une température de plus de 2 x 109 K
Puis l'abstract :
Des ensembles constitués par des fils métalliques,
puissamment concentrés selon l'axe de symétrie du système
constituent les sources de rayons X de laboratoire les plus puissantes
à ce jour. Mais en outre, dans certaines conditions on peut observer
une énergie sous forme de rayons X "mous", émise
dans un pulse d'une durée de 5 nanosecondes, au moment où
la compression maximale est atteinte ( stagnation ) qui
correspond à une énergie excédant l'énergie
initiale sous forme cinétique, d'un facteur 3 à 4.
Un modèle théorique est développé pour expliquer
ce phénomène en suggérant qu'il soit imputable à
une conversion rapide d'énergie magnétique, portant les
ions à une très forte température, à travers
des phénomènes d'instabilités MHD de type m = 0 ,
à croissance rapide. Il y a alors saturation non-linéaire
et chauffage visqueux du gaz d'ions. Cette énergie d'abord transférée
au ions est ensuite transmise aux électrons par simple équipartition,
collisions ions-électrons, et ces derniers émettent alors
des rayons X mous. On a récemment obtenu à Sandia des spectres,
ces mesures s'étendant dans le temps, qui ont confirmé une
température ionique de 200 keV ( 2 x
109 degrés ), en accord
avec cette théorie. On obtient alors un record de température
pour un plasma confiné magnétiquement. |
Haines et ses co-auteurs commencent par rappeler le fond du problème. On n'est pas parvenu à expliquer comment l'énergie dégagée par le plasma pouvait atteindre 3 ou 4 fois l'énergie cinétique "incidente", c'est à dire la somme des 1/2 mV2 des atomes de métal lancés les uns contre les autres, en direction de l'axe, au voisinage duquel ils finissent leur course, cette énergie cinétique étant transformée en énergie thermique. Quand on analyse les données, le compte n'y est pas. Il sort plus d'énergie qu'il n'en entre dans ce système et il faut bien qu'elle provienne de quelque part. Haines pense alors à l'énergie magnétique. Qu'en est-il ?
Si on considère un liner constitué de fils ( 240 ) et qu'on y fasse passer un courant on peut calculer l'intensité du champ magnétique, azimutal que créent les autres fils.Ce fil subit une force de Laplace J x B . Il est facile d'établir que cette force est la même que celle qui serait due au champ créé par un conducteur linéaire disposé selon l'axe et où on ferait circuler tout le courant ( dans la manip de Sandia : 20 millions d'ampères ).
C'est aussi ainsi qu'on peut calculer la valeur du champ extérieur, modulo l'hypothèse faite : qu'on peut considérer ce champ comme créé par des fils de longueur infinie, ce qui est loin d'être le cas. Cela donne donc de simples ordres de grandeur. A ce champ magnétique est associée une pression magnétique qu, si elle s'exprime en newtons par mètres carrés correspond aussi à des joules par mètre cube. La pression magnétique est une densité d'énergie volumique. On évaluer celle qui serait créée par un conducteur linéaire infini.
![]()
On peut, au voisinage de la nappe de fils où on peut en première approximation retenir cette façon de calculer le champ calculer l'énergie magnétique localisée entre un cylindre de rayon r et un cylindre de rayon dr
![]()
Soit rmin le rayon minimal du plasma. Ça n'a évidemment aucun sens d'intégrer cette expression de cette valeur à l'infini, puisqu'elle n'est valable que pour des conducteurs linéiques dont on peut considérer la longueur comme infinie. Mais, en écrivant :

on voit que plus le paquet d'atomes métalliques se trouve rassemblé au voisinage de l'axe du système, plus grande est l'énergie constituée sous forme de pression magnétique au voisinage de l'objet. Haines voit donc là la source d'énergie qui est susceptible d'accroître la température des ions, qui ont déjà converti leur énergie cinétique sous forme d'énergie cinétique d'agitation thermique. Si V est la vitesse radiale des ions au moment de l'impact, de la "stagnation" on peut évaluer cette vitesse d'agitation thermique en faisant simplement :
![]()
L'usage de cette formule implique que " le gaz d'ions fer " soit " thermalisé", qu'il ait acquis une distribution de vitesse de Maxwell-Boltzmann. Mais comme l'établira plus loin Haines, le temps de relaxation dans cet milieu est très faible.
tii , temps de relation dans le milieu ionique : 37 picosecondes ( Haines )
Ajoutons que le couplage énergétique avec le gaz d'électrons est aussi faible. En outre l'énergie redistribuée ne peut l'être que sous forme cinétique ( énergie d'agitation thermique des ions électrons ). Cette formule, très simple, est donc valable. Enfin, dans la mesure où on suppose que le gaz d'ions n'est pas nourri par une autre source d'énergie, et on verra plus loin que c'est le cas.
Ceci étant, avec une vitesse de 1000 km/s on obtiendrait effectivement les 2 milliards de degrés. Quand le système en implosion passe-t-il de la configuration " fils distincts " à la configuration " couronne de plasma " ? Le papier ne le dit pas. Avec un liner de 4 cm de rayon et un temps d'implosion de 100 nanosecondes on obtient une vitesse radiale moyenne de 400 km/s, minimale. L'atome de fer pèse 9 10-26 kilo mais si c'est la vitesse des ions au moment de l'impact on obtient quand même 348 millions de degrés. Ça n'est qu'une vitesse moyenne. Quand on écrit l'équation différentielle du mouvement on a une accélération spectaculaire en finale. Il faut aussi tenir compte du fait que la décharge n'est pas à intensité constante. I croît au cours du temps. On a :

M représente la masse du liner, au mètre. On voit qu'en fin de décharge et en fin de course l'accélération croit. La vitesse s'envole. Haines écrit :
|
Coup d'oeil aux références citées :
|
[1] C. Deeney et al., Phys. Rev. E 56, 5945 (1997). |
La référence (1) remonte à 1997. Donc, dès cette époque ce phénomène inexpliqué était déjà constaté. Deeney est le directeur des manips de la Z-machine. Je n'ai pas lu ces articles. Si des gens pouvaient me les envoyer en pdf je pourrais les parcourir et donner des commentaires additionnels.
Sautons directement aux conclusions du papier :
|
L'équation (1) du papier est citée comme étant "la relation de Bennet", qui date de 1934 ( évoquée comme étant présentée dans la référence (1 ) ). On peut la rétablir sans trop de problème. Elle exprime simplement que la pression magnétique égale la pression dans le plasma. La pression magnétique est donné plus haut. La pression totale dans le plasma est donnée comme étant la somme des pressions partielles constituant la contribution
- du gaz d'électrons ne k Te
- et du gaz d'ions ni k Ti
où k est la constante de Boltzmann.
Si Z est le degré d'ionisation
ne = Z ni
Si de plus ces températures absolues sont exprimées en électron-volts et non en degrés Kelvin, avec
k T = e V
alors la pression dans le plasma s'écrit :
ni e ( Ti + Z Te )
On voit apparaître le second membre de la " relation de Bennet ". Plus faut on avait établi que :
![]()
r est alors le rayon minimal du cordon de plasma confiné selon l'axe. Bennet fait alors intervenir un nombre d'ions au mètre de liner Ni .
![]()

![]()
Ce qui donne ( Bennet, 1934 )
![]()
Cette expression est remarquable parce que le rayon minimal du cordon de plasma n'intervient pas. Pourquoi ?
Quand le cordon de plasma mincit, la pression magnétique s'exerçant sur lui croit comme l'inverse du carré de son rayon. Mais la densité des ions croît également de la même façon. Ceci compense cela. Ce qui est curieux, effectivement , c'est que la forte différence entre les températures ionique et électronique ne dépende pas du rayon final du cordon de plasma, disposé selon l'axe, qui pourrait être aussi petit que l'on veut. On a une équation différentielle qui donne l'évolution du rayon r du plasma en fonction du temps :

On peut calculer l'allure des courbes ( à condition de disposer de la loi de montée du courant I(t), qui est une "entrée" du problème. En principe dans les Z machines cette montée est pratiquement linéaire, sauf erreur ). La descente de r s'accentue. Je veux dire que la vitesse d'implosion croît au fur et à mesure que r diminue. Si r devenait nul cette vitesse d'implosion deviendrait infinie. Mais il en écrivant cette équation on a oublié quelque chose : la force de pression qui s'oppose à l'implosion. Il faudrait en tenir compte. Ceci étant le problème est moins simple qu'il n'y apparaît. Cette pression qui s'oppose à l'implosion dépend de la température ionique. Or nous ne pouvons pas la modéliser puisque, selon Haines, sa croissance dépend d'un phénomène que nous ne savons pas prendre en charge : le chauffage du plasma par des micro-instabilités MHD.
Moralité : il faut savoir s'arrêter quand on tente de modéliser et qu'on cesse de prendre en compte tous les paramètres. On a bien la formule :
![]()
mais on ne connaît pas la vitesse V des ions en fin d'implosion. Introduire une vitesse moyenne ( rayon du liner sur temps d'implosion ) n'a guère de sens puisque la vitesse croît en fin d'implosion.
Haines se réfère alors à un essai particulier de la Z-machine, le Z1141 où la masse du liner par mètre était de 450 milligrammes de fils d'acier inox (4.5 10-5 k/m ) , agencés en deux couronnes concentriques, la première, d'un diamètre de 55 mm faisant le double de la masse de l'autre, d'un diamètre de 27,5 mm.
Un peu plus loin Haines se servira d'une valeur de Ni ( nombre d'ions au mètre ) de 3.41 1020. La masse d'un atome de fer étant de 9 10-26 kilo si je divise 4.5 10-5 k/m par cette masse j'obtiens 5 1020 . Mais il précise qu'au cours de l'implosion 30 % de la masse "est perdue en route. On retrouve donc à peu de choses près son chiffre.
Il indique que les mesures de température électronique effectuées donnent 3 keV au moment de la stagnation, c'est à dire 35 millions de degrés. Il précise que le courant est monté à 18 méga-ampères en 100 nanosecondes. Il estime que 30 % de la matière " a été perdue en route ", mais que 70 % est arrivée à bon port. En effet c'est ce qui ressort de toutes ces études avec les liners à fils ( thèse de Bavay ). Pendant le collapse ces fils "s'évaporent" tels des comètes en train de dégazer. Ils laissent "dans leur sillage" une traînée de plasma, dont la masse peut représenter de 30 à 50 % de la masse des fils.
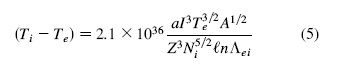
Avec Ni = 3,41 1020 ions au mètre et Z = 26 ( fer ), appliquons la relation de Bennet avec la charge électrique unitaire e = 1,6 10-19 ( Coulomb )
mo = 4 p 10-7 MKSA
Calculons ( Ti + Z Te ) :
![]()
ce qui correspond à 3,44 milliards de degrés. Quand le diamètre du cordon de plasma passe par un minimum voir courbe, la mesure de température ionique est de 270 keV, soit 3,12 milliards de degrés. Compte tenu de la fourchette d'erreur cet accord est tout simplement remarquable.
|
![]()
![]()
Revenons à la formule de Bennet. Dans la manip de Sandia la température électronique Te mesurée ( d'après l'émission de rayons X ) est de 3 k eV . Avec Z = 26 on a :
Z Te = 78
Donc la pression n'est pas due au gaz d'électrons ! Il reste pour équilibrer la pression magnétique ( relation de Bennett ) la pression des ions. Mais il faudrait que ceux-ci soient à une température de 219 keV soit ... 2,54 milliards de degrés ! En effet il faut que :
Ti + 78 ( mesuré ) = 296
Mais ça n'est pas tout. Antérieurement à ces manips Sandia avait opéré avec des " gas puff " des "bouffées de gaz " envoyées au centre du système et comprimées à l'aide du liner à fil.
|
[9] K. L. Wong et al., Phys. Rev. Lett. 80, 2334 (1998).
Là encore, si un lecteur pouvait m'envoyer le pdf de la référence (9), j'examinerais ça de plus près.
Haines exclue le chauffage résistif, le simple effet Joule vers lequel s'était tourné Yonas. Il indique par exemple que pour chauffer un pinch d'un diamètre de 2 mm à 3 keV ( 3 millions de degrés seulement ) il faut 8 microsecondes !
Il ne voit que le champ magnétique environnant comme source d'énergie possible. Il propose alors d'invoquer un chauffage des ions via des instabilités MHD à très courtes longueurs d'onde, qui soit suivi d'une équipartition, d'un chauffage du gaz d'électrons par collision ions-électrons, et finalement ceci se traduise par une émission d'énergie de ces mêmes électrons ( par le classique Bremmstrahlung, ou rayonnement de freinage, c'est à dire par interaction avec le champ magnétique )
Ce qui suit évoque la nature de ces instabilités MHD évoquées. On débouche sur une équation de l'énergie qui s'écrit :
![]()
k est la constante de Boltzmann et neq la fréquence de collision. CA est la vitesse de Halfven , Cs la vitesse du son , a est le diamètre minimal du plasma. Mais Haines écrit cette équation autrement en mettant les températures en électron-volts et en remplaçant cette fréquence de collision par son inverse, le temps de libre parcours moyen teq.
![]()
Par rapport aux plasmas hors d'équilibre comme par exemple celui du tube au néon de votre cuisine vous noterez que c'est cette fois la température ionique qui est plus élevée que celle des électrons ( alors que dans le tube c'est l'inverse : gaz d'électrons chaud, néon froid ). Ci-après l'équation pour un milieu hors d'équilibre comme un simple tube au néon.
![]()
Le premier membre représente le chauffage du gaz d'électrons par effet Joule. J est le vecteur densité de courant et s la conductivité électrique. Le terme de droite, de la précédente équation se lit de la façon suivante. On a au dénominateur le temps de libre parcours de l'électron dans le néon, dont l'inverse est une fréquence de collision. Quand des électrons transfèrent de l'énergie à des ions ils le font avec peine et un coefficient, le rapport des masses, apparaît dans l'équation.
![]()
Mais quand un ion tape sur un électron le rendement de transfert d'énergie est l'unité. Donc ce coefficient de rapport de masse disparaît, ou plutôt il vaut ... l'unité. Haines produit alors la formule classique du calcul de la fréquence de collision électron-ion. On est en "régime coulombien". On trouve dans l'expression la section efficace de collision électron-ion. Ceux qui connaissent la théorie cinétique des gaz reconnaîtront cette expression classique.

La partie qui concerne la naissance d'instabilités MHD reste assez sommaire, en particulier parce que le paramètre de Hall des ions est supérieur à l'unité.
![]()
Ce qui intervient dans ce paramètre est la fréquence de collisions ion-ion.
Yonas m'a écrit que " la théorie de Haines explique bien cet état hors d'équilibre " mais je ne suis qu'à moitié convaincu. Disons que " l'explication " de Haines reste très embryonnaire et se résume à une vingtaine de lignes. Il suppose que ces instabilités affectent les ions et provoquent au sein de ce milieu un chauffage visqueux.
Le lecteur se demande sans doute à quoi ressemblent ces instabilités et comment elles apparaissent. La dissipation par effet Joule est, par unité de volume :
![]()
Les instabilités envisagées créent une turbulence de la densité de courant Les lignes de courant se resserrent, s'épanouissent, se resserrent de nouveau, selon des longues d'ondes qu'Haines chiffre en microns ou dizaines de microns. Ce sont des micro-instabilités. Si localement la densité de courant croît, cela s'accompagne d'un renforcement du champ magnétique, en vice-versa. Il s'agit donc d'une turbulence électromagnétique, typique des pinch. On trouve par exemple ces turbulences dans ... la foudre. Un éclair, ça ne dure pas longtemps, mais les photos qu'on peut prendre d'un éclair en train de se dissiper montre des gouttelettes de plasma, à la queue leu leu. Dans ce cas le gaz ( l'air ) n'est pas totalement ionisé. Quand le pincement de la décharge se produit la densité de courant augmente, la température électronique aussi. La décharge de la foudre est un arc électrique. Les mécanismes qui s'y déroulent sont complexes. L'accroissement de l'intensité du courant électrique provoque un accroissement du dégagement de chaleur par effet Joule. le filament de plasma se dilate, etc...
Les micro-instabilités suggérées par Haines sont des "cousines" de ces instabilités-là. Il se produit des micro-pincements. La valeur locale de la densité de courant s'accroît, dont subséquemment la valeur du champ magnétique et de la pression magnétique aux alentours. Cet accroissement tend à accentuer le pincement. C'est le fondement de l'auto-instabilité du plasma, de cette turbulence électromagnétique. Il peut alors se passer alors ... des tas de choses que seul le calcul permettrait de théoriser, que Haines n'a pas fait. le moins qu'on puisse dire est que le milieu est complexe. Supposons, avant que les instabilités ne se mettent à chauffer les ions du plasma que les deux température, électronique et ionique sont égales, par exemple à 20 millions de degrés. Un pincement se produit. Cela se traduit par un accroissement de la température électronique. Cela crée-t-il de nouvelles évasions d'électrons. Cela dépend du "temps caractéristique d'ionisation". Là encore, données, calcul. Mais, à la différence de l'instabilité de Vélikhov cette instabilité affecte le gaz d'ions, par "viscosité". Physiquement ces pinches "secouent" les ions radialement.
Je précise que dans ces plasmas le courant électrique est un courant électronique et n'est pas dû à un courant d'ions. Ce plasma est relié à des électrodes métalliques. Quand le pincement se produit il y a renforcement du champ magnétique et de la force de Laplace, qui est subie au premier chef par les électrons, qui transmettent cette impulsion aux ions par collisions. Cette striction de l'écheveau de lignes de courant électronique crée un champ électrique radial qui agit sur les ions en les tirant à leur tour. Dans cette instabilité on a un phénomène de micro-turbulence qui affecte le gaz d'électrons, lequel transmet à son tour ces "secousses" au gaz d'ions. Le temps caractéristique de thermalisation dans le gaz d'ions est très faible ( 37 picrosecondes ).
Il écrit alors l'équation de l'énergie, concernant le gaz d'ions en faisant figurer dans le premier membre l'apport lié au chauffage visqueux par les instabilités;
![]()
Le temps caractéristique qui figure au dénominateur du second membre est un temps de libre parcours moyens des ions sous l'effet de collision avec les électrons. C'est donc " le temps d'équipartition ", temps caractéristique d'égalisation des deux température, ionique et électronique. Haines le chiffre à "approximativement 5 ns".
Notons que ce temps d'équipartition fait intervenir le rapport ( mi / me ). Plus il est long et moins le gaz d'ions et le gaz d'électrons seront couplés. Pour des ions fer ce rapport vaut :
![]()
On pouvait évidemment se poser la question de savoir si, pendant ce processus on pouvait considérer la fonction de distribution des vitesses dans le milieu des ions comme maxwellienne. Haines justifie ceci en produisant la valeur du temps de relaxation de thermalisation tii dans ce milieu qu'il chiffre à 37 picosecondes. Comme ce temps est faible devant le temps d'équipartution Haines en déduit que le gaz d'ions est thermalisé, maxwellien. Il exploite alors la formule ci-dessus avec les valeurs qu'il choisit ce qui l'amène à des longueurs d'ondes de ces micro-instabilités MHD allant d'un centième à un dixième de millimètre.

Dans cette expression A est la masse atomique du fer ( 55.8 ) , a le diamètre minimal du pinch, I l'intensité électrique qui passe dans le cordon de plasma ( on ne parle plus de liner à fils : ceux-ci se sont transformés en plasma ).
La phrase clé est :
| Thus for stagnated Z pinches where teq is significantly longer than a / cA the ion temperature will greatly exceed the electron temperature. | Ainsi, pour des Z pinches en condition d'arrêt, si le temps d'équipartition teq est significativement plus long que le rapport a / cA du diamètre du pinch à la vitesse d'Alfvèn la température ionique pourra être notablement plus grande que la température électronique |
Revenant à l'expérience prise comme référence Haines adopte pour le diamètre du cordon de plasma la valeur de 3.6 mm. Avec ces valeurs il obtient "un résultat qui est consistent avec la valeur de 219 keV pour la température ionique ( 2.5 milliards de degrés Kelvin ). Il rappelle que dans la manip Saturn ( référence 3 ) ce même rapport d'un facteur 3 à 4 avait été trouvé pour le rapport entre l'énergie thermique des ions et l'énergie cinétique du pinch, mais qu'alors des mesures de températures ioniques n'avaient pas été effectuées. Toute la différence est qu'aujourd'hui les expérimentateurs disposent de telles mesures, qui vont être détaillées plus loin.
Ceci étant :
| Indeed, without this artificial fix no codes have been able
to model these large array diameter experiments. 2D and 3D simulations
of wire-array implosions in general [9] require, as input parameters,
the wavelength and initial amplitude of modes and a value of the resistivity
of the vacuum, defined as where the plasma density
falls below a given value. In addition, no simulation currently includes
ion viscosity (let alone the full stress tensor) or a fine enough mesh
to model the short wavelength instabilities proposed here. Often an ad
hoc procedure is used to prevent radiative collapse. |
En vérité, sans cette façon quelque peu artificielle de définir les paramètres les programmes d'ordinateur n'ont pas été en mesure de modéliser ces expériences portant sur des dispositif d'aussi larges diamètres. Des simulations 2D ou 3D l'imposions de liners à fils nécessitent, comme paramètres d'entrée, de connaître la longueur d'onde et l'amplitude initiale des modes des instabilités et la valeur de la résistivité du "vide" définie en considérant les endroits où la densité du plasma tombe en dessous d'une valeur donnée. De plus on ne dispose pas de simulations incluant la viscosité ionique ( et encore moins quand on veut tenir compte du caractère tensoriel des paramètres ioniques, état lié à la forte valeur du paramètre de Hall dans le gaz d'ions ) ainsi que d'une concordances suffisante pour modéliser le système d'instabilités à courtes longueur d'ondes proposé ici. Souvent une procédure ad hoc est utilisée pour éviter le collapse radial du plasma. |
propos qui relativisent cette explication du chauffage ionique par interaction avec le champ magnétique ambiant.
Des mesures de température ionique par élargissement des raies, du à l'effet Doppler ont été effectués, de plus au cours du temps et utilisant un spectromètre à cristal de LiF situé à 6.64 mètres du pinch. Voir le papier pour les précisions techniques concernant ce spectro. Ci-après le spectre d'émission :

On retrouve dans cet acier inox utilisé dans cet essai Z1141, outre les raies du chrome et du fer qui dominent, celles du Manganèse et du Nickel. On a basé l'évaluation de la température en prenant, pour le fer la raie à 8.49 keV et pour le manganèse celle à 6.18 keV. Les mesures sur ces raies, quoique plus faibles sont moins susceptible d'être grevée par l'opacité.
Par la suite le papier justifie la fiabilité de ces mesures de température, l'écart était évalué à 35 keV. Ci-après l'évolution des température, de la puisse rayonnée et du diamètre du pinch dans le temps.
On remarquera que les barres d'erreur associées aux ( trois ) mesures de températures des ions fer ne sont pas figurées sur le graphique. Or dans le papier on lit :
| An error of 35 keV is assigned to the temperature measurements based on uncertainty in measuring linewidths. | Une erreur systématique de 35 keV est associée aux mesures de température température, due à l'incertitude concernant l'évaluation des élargissements de raies. |
Les auteurs ont simplement oublié de les faire figurer. Il ne faut pas oublier qu'ils sont six.. Soit un seul se charge de la rédaction et les autres cosignent, soit chacun y va de son petit bout, l'article ayant alors un petit côté patchwork. Au lecteur de décider. On va donc rajouter ces barres d'erreur.

On voit que les points de mesure des ions fer se trouvent dans la barre d'erreur de ceux des ions manganèse, et vice-versa. Dans la graphique la mesure de température des ions fer croît de 200 à 300 keV, mais comme ces mesure se mêlent, n'envisageant pas d'écart de température ( de 35 keV ) entre les populations d'ion fer et d'ions manganèse ( sans doute à juste titre ) les auteurs donnent des valeurs intermédiaire allant de 230 keV ( 2,66 milliards de degrés Kelvin ) à 320 keV ( 3,7 milliards de degrés ). On est bien " over 2 x 109 Kelvin", " au delà de deux milliards de degrés " et pas qu'un peu puisque la valeur maximale atteint 3,7 milliards de degrés. De plus, vue l'allure de la courbe il ne serait pas impossible qu'une valeur supérieure puisse être mesurée, si en refaisant cet essai à l'identique on avait positionné les quatre images disponibles 5 ns plus tard. Et si cette montée en température, liée à cet échauffement des ions que Haines essaye de justifier s'était maintenue ça n'est pas 2 milliards de degrés qu'on pourrait envisager, mais .... quatre ( on rappelle que dans les supernovae la température monte à dix milliards de degrés.
En toute logique, étant donnée la fiabilité des mesures de température les auteurs auraient du titrer " Une température de 3,7 milliards de degrés a été atteint", en indiquant " la valeur record ", mais il se sont contentés de dire " au delà de deux milliards de degrés ". Pourquoi cette ... timidité ? Par ailleurs, remarquons que :
- Avec 500 millions de degrés, bingo pour la fusion ( non polluante ) lithium-hydrogène
- Avec un milliard de degrés, bingo pour la fision ( non-polluante )à Bore-hydrogène
- Avec quatre milliards, quoi ? ( aux spécialistes du nucléaire de me répondre )
- Si un jour on atteint dix milliards, alors ce sont toutes les réactions de synthèse nucléaires conduisant aux atomes de la table de Mendeleiv qui deviennent possible. C'est à dire tout l'éventail de la Genèse.
Appelez-moi Dieu....
Le même graphique, en traçant les évolutions dans le temps, en noir la courbe moyenne, retenue dans le papier. .

On voit que le diamètre du plasma passe par in minima juste avant t = 110 ns. On a une émission de rayons X sur une durée d'environ 5 ns. Notez les valeurs maximales de températures enregistrées. 300 keV ( 3.48 milliards de degrés ) pour les ions fer et 340 keV ( 3.94 milliards de degrés ) pour les ions manganèse.
NB : La formule de Bennet :
mo I2 = 8 p Ni ( Ti + Z Te )
donne ( voir plus haut ) 2,5 milliards de degrés pour le fer. Ce calcul se réfère à l'essai Z1141 ( 18 millions d'Ampères. Liner de 450 mg ) de même que la figure 1. Mais les analyses et données présentées dans cet article se réfèrent à trois essais ( Z1141, Z1137 et Z 1386 ).
Mon commentaire :
Revenez au titre du papier de Haines : " over 2 x 109 Kelvin " , ce qui signifie " au delà de deux milliards de degrés ". Alors que dans les années précédentes ces systèmes sont montés à un million et demi, deux millions de degrés et plus, soudain la machine s'emballe. Les lecteurs pourraient s'étonner de l'absence d'une émission de la part du carbone. Mais ( wikipedia ) l'acier inoxydable austénitique en contient fort peu ( moins de 0,15 % ). Voir encadré.
|
On a fait figurer les deux courbes de températures pour le gaz d'ions fer et le gaz d'ions manganèse, qui semblent différentes. Mais d'une part la fourchette d'erreur indiquée pour le manganèse fait qu'on peut considérer que ces deux températures peuvent être en fait très voisines. D'autre part l'ion manganèse, s'il a pratiquement la même charge que l'ion fer ( 25 contre 26 ) est deux fois plus léger ( 30 contre 58 ). Il n'est donc pas impossible que, soumis à une instabilité MHD ces deux gaz, intimement liés, présentent entre eux un ( léger : 12 % ) effet d'hors équilibre et possèdent des température différentes.
Haines : le diamètre du plasma atteint sa valeur minimale de 1.5 mm 2 nanosecondes avant le maximum d'émission de rayons X. Il estime qu'au moment où ce maximum est atteint la densité et "l'équipartition" doivent être maximales ( j'aurais tendance à lire "la tendance vers l'équipartition )
Essayons de faire "parler" ces différentes courbes. Que se passe-t-il ?
On a quatre points de mesure de température. L'un est éliminé, pour le fer, le 2°, à cause d'un problème de mesure. Ce nombre faible correspond à tout ce que peut capter le système d'enregistrement. C'est déjà extraordinaire, non seulement de disposer de mesures de températures, mais d'avoir aussi une idée de leur évolution dans le temps. Ceci dit on n'a pas accès aux valeurs antérieurement à t = 105 ns et postérieurement à t = 115 ns.
Le texte dit qu'au moment de "l'arrêt" ( stagnation ) du plasma la température électronique a atteint 3 keV c'est à dire 35 millions de degrés. Ce qui signifie qu'au moment où cette température est maximale elle ne montera pas plus qu'au centième de la valeur atteinte par la température ionique maximale. Comme la puissance émise grimpe en un fort "pulse" il faut supposer qu'avant t = 105 ns elle était bien inférieure.On a l'impression que cette température s'effondre, d'un facteur 9, vers 115 ns. Mais la loi de Stephan indique que la puissance rayonnée varie comme la puissance quatrième de la température. Donc la diminution est en fait dans le rapport de la racine quatrième de 9, c'est à dire 1,73. . Ce qui amène Te à 3 à 1,68 keV. Je trace la courbe, à peu près :

En noir la variation de température électronique. En rouge la variation de puissance rayonnée ( loi de Stephan )
Or à t = 105 ns les ions sont déjà chauds ( T de l'ordre de 200 keV ). Donc ce mécanisme de chauffage, à élucider, intervient avant l'arrêt l'état de rayon est minimal du plasma, qui se situe à t = 110 ns.
Schématiquement : le plasma implose. Sans ce phénomène d'apport additionnel d'énergie, à élucider, mais que Haines pense provenir d'une conversion d'énergie magnétique en chaleur ce plasma imploserait complètement, si la température des ions était égale à celle des électrons ( moins de vingt millions de degrés avant t = 105 secondes ).
Mais les ions sont nourris par cet apport. La température des ions s'accroît. Le couplage entre le gaz d'ions et le gaz d'électrons s'effectue dans "le temps caractéristique d'équipartition " teq que Haine a chiffré à 5 ns. Le temps de montée de la température électronique correspond donc à ce chiffre ( de 107 à 112 ns ).
Haines dit que ce phénomène de chauffage du gaz d'ions suffit à contrebalancer la pression magnétique et que les "conditions d'arrêt" sont réellement atteintes car la vitesse caractéristique avec laquelle le rayon du plasma varie est seulement 15 % de la vitesse thermique des ions. On peut évaluer la vitesse d'agitation thermique des ions fer entre les valeurs minimal et maximale de la température mesurée.

- Pour la température minimale, 230 keV ou 2,66 milliards de degrés : < Vi > = 1066 km/s
- Pour la température maximale , 320 keV ou 3,7 milliards de degrés : < Vi > = 1258 km/s
Haines comparent ces valeurs à la " vitesse d'expansion " du plasma et dit qu'elle représente 15 % de cette valeur. Quelle que soit la façon de l'évaluer en prenant des points sur la courbe elle reste inférieure à la vitesse thermique ce qui semble effectivement indiquer que la pression dans le plasma a équilibré la pression magnétique.
Après, le diamètre du plasma se remet à croître. Pourquoi ? Parce que le chauffage des ions continue. On pourrait essayer de calculer cette expansion.
Il reste une chose que je ne comprends pas, pour le moment : pourquoi la température électronique redescend-t-elle puisque le gaz d'électrons devrait continuer à être alimenté en énergie par le gaz d'ions qui, lui, continue de s'échauffer, du moins dans la fourchette temporelle qui nous est accessible.
Précision : quelle est la vitesse d'agitation thermique dans le gaz d'électrons porté à 3 keV ( 35 millions de degrés ).

Supposons que nous arrivions à faire passe 18 millions d'ampères dans un cordon de plasma d'un millimètre et demi de diamètre. Quelle est la valeur du champ magnétique au contact du plasma et la valeur correspondante de la pression magnétique ? ( modulo l'hypothèse qu'on considère le conducteur comme infini, évidemment )


27 juin 2006 : En France, une idée intéressante.
Dans un autre dossier consacré aux machines à magnétocumulation, inspirées des machines russes des années cinquante, on a a vu le principe de la machine MK-1. Par la suite des gens ont expérimenté avec des liners non plus cylindriques, mais coniques. On obtient un "effet de charge creuse". La masse du liner en rassemblant sur l'axe donne naissance à un dard projeté à grande vitesse. Je crois qu'on a obtenu des vitesses de 80 km/s. A vérifier. Toujours est-il, comme me le faisait remarquer Violent qu'on peut envisager des Z-machines avec des liners à fils non plus cylindriques mais coniques. On peut alors espérer obtenir de la même façon un effet de charge creuse. Différentes configurations peuvent être imaginées. La MHD est le terrain de prédilection des solutions les plus imaginatives. Ci-après un montage constitué avec deux tronc de cône ayant leur base commune. Si les deux dards de plasma se forment et entrent en collision on pourrait obtenir des températures plus élevées, même avec une machine comme celle de Gramat.

On ne peut guère faire autre chose que ce dessin. Des simulations pourraient être envisagées et, bien sûr, des expériences.
Il y a une autre idée qui émerge : faire glisser le liner sur un bicône. L'idée n'est pas nouvelle. Voici le dessin, correspondant à un liner continu :
![]()
Il suffit de transposer, avec un liner à fil.
16 juillet 2006. Que vaut le paramètre de Hall bi = Wi tii pour les ions ?
Haines, dans son papier, dit qu'il est supérieur à l'unité. Ce paramètre est le rapport de la gyrofréquence à la fréquence de collision. Selon Haines cette fréquence de collision ionique est essentiellement une fréquence des collisions ion-ion. Son inverse, le temps de relaxation tii est donné comme étant de 37 picosecondes. Ce qui donne une fréquence de collision :
nii = 3 1010
La gyrofréquence est :

Ce qui donne la valeur bi = 0,258 Z pour le paramètre de Hall des ion, Z étant la charge ionique ( maximum 26 si l'ion est complètement déshabillé ). On a donc, comme le dit Haines, un paramètre de Hall supérieur à l'unité. Du pain sur la planche pour les théoriciens que nous sommes.
Une donnée annexe ( source : http://www.sandia.gov/pulsedpower/prog_cap/pub_papers/023862p.pdf )
Le profil caractéristique de la décharge de courant dans la Z machine :

C'est la brièveté de cette montée en intensité ( cent nanosecondes ) qui a permis d'obtenir ces résultats sur la machine de Sandia. En effet il s'est avéré que la sublimation des fils était moins rapide que prévu. Aini cette structure de " liner à fils " a pu perdurer durant l'implosion, en préservant l'axisymmétrie, laquelle disparaît immédiatement quand l'objet, transformé en rideau de plasma, se met à se contorsionner sous l'effet d'instabilités MHD. Quand on tente de faire imploser un liner constitué par un cylindre de métal on obtient à peut près ce qui se passerait si on tentait d'écraser un cylindre de papier dans sa main. Je crois que les Français ( la machine Sphinx, papier présente en septembre 21006 au colloque de Tomsk, Sibérie , temps minimal de montée : 800 nanosecondes ) n'ont pas bien saisi que cet aspect des choses était crucial, ce que m'avait aussitôt dit Yonas par mail en 2006.
17 février 2008 : Une précision sur les réactions parasites liée à la formule B11 + H1
Le Bore a 5 charges électrique, l'hydrogène une. Le carbone 6 et l'azote 7.
Le refroidissement radiatif du plasma se fait par rayonnement de freinage. La puissance émise varie comme le carré de la charge électrique. La puissance émise en rayons X par un électron spiralant autour d'un atome de Bore est donc 25 fois plus élevée que celle perdue en spiralant autour d'un atome d'hydogène ( léger ou lourd, c'est la charge qui compte )
B11 + H1 donne C11 + n + 2,8 Mev
Durée de vie du carbone C11 : 20 minutes. On peut ouvrir sans danger la chambre 10 heures après arrêt de fonctionnement
B11 + He4 donne N11 + n + 157 keV
Protection : 20 cm de B10 ou 1 mètres d'eau.
Radioactivité induite dans l'électrode en bérylium : 5 microcuries par an ( données : condérence de Lerner )
Selon Lerner, dans cette fusion impulsionnelle on utilise les instabilités MHD. Sa description des mécanismes est la suivante. La décharge électrique " en parapluie " tend d'abord à donner des condensations de plasma comparables " aux baleines de ce même parapluie ". Puis ces filaments s'enroulent selon l'axe pour donner un cordon de plasma. Celui-ci, par instabilité de Kink se configure ""comme un cordon de téléphone spiralé". Puis dans cette même structure se forment des "plasmoïdes autoconfinés" des points chauds d'un volme infime, inférieur au micron cube. Dans ces plasmoïdes le champ magnétique a la topologie torique. Nouveau pincement selon l'axe de ce plasmoïde-goutelette. Et c'est alors, dixit Lerner, que les réactions de fusion se produisent.
18 mars 2008 : Commentaire suite à la parution d'un article dans le revue Science et Avenir.
Le journaliste David Larousserie a publié un article intitulé " les exploits de la Z-machine " dans le numéro de mars 2008 de la revue pour laquelle il travaille : Science et Avenirs. Il m'a appelé en me demandant où j'avais pu lire que les expériences de Sandia avaient, en 2005-2006 permis de dépasser, non pas deux milliards de degrés, mais trois. Je l'ai renvoyé à l'article de Haines, du 24 février 2006, figure 3 où il est explicitement mentionné que la température ionique était montée de 230 à 320 keV. Or, sauf erreur 320 keV correspondent à une température de 3,68 milliards de degrés.
Il n'aborde pas dans son article la question d'une possibilité de fusion a-neutronique Bore Hydrogène, se contentant d'évoquer la technique du holraum. En règle cette percée en température est très mal accueillie dans les milieux liés, de près ou de loin au projet ITER, où on préfère passer cette perspective sous silence en entendant confiner la Z-machine à des applications essentiellement militaires. En effet, si un jour il s'avère que l'avenir de la fusion passe par ces très fortes températures ( un milliard de degrés ) le technologie Tokamak ne pourrait absolument plus suivre.
Dans son article Larousserie rapporte ce qu'il a pu retenir de conversations avec Alexander Chuvatin, du laboratoire de physique et de technologie des plasmas ( LPTP ) de l'Ecole Polytechnique. Il rapport ces paroles, que nous citons :
- Il ne faut pas s'emballer à propos de ces températures. Elles n'existent que pendant de trop courts instants et sont localisées dans des zones instables. Cela rend impossible la fusion qui nécessite à la fois une grande densité de matière, un temps de confinement suffisamment long et une énergie élevée.
Selon Larousserie, Chuvatin dit avoir proposé une explication de l'anomalie signalée par Haines au début de son article. Je cite ce que souligne Haines :
There has been some difficulty in understanding the radiated energy in a wire-array Z pinch implosion could be up to 4 times the kinetic energy [1,4] ( les dates des références citées : 1997 à 2002, montrent que ce problème n'est pas une nouveauté ), and also how the plasma pressure could be sufficient to balance the magnetic pressure at stagnation if the ion and ion temperatures were equal. In fact, theoretically the excess magnetic pressure should continue to compress the plasma leading to a radiative collapse. Some theories have been developped to explain the additional heating, but neither of these have adressed the pressure imbalance.
J'avoue ne guère comprendre la remarque de Chuvatin. Ce qui est important c'est ce qui ressort de la formule de Bennet, qui exprime simplement que la pression du plasma équilibre la pression magnétique. Elle est donée dans le papier de Haines et j'en ai détaillé la façon ( ultra-claire ) de l'établir :
![]()
Haines le précise bien : pour que le plasma ne soit pas écrasé il faut que la température soit de 296 eV. Ce qui est nouveau, finalement dans le papier de 2006 c'est que cette température ionique, antérieurement déduite par cette formule, est mesurée par élargissement de raies et confirmée. L'article de Haines est sur ce plan, très clair.
Ce que suggère le commentaire de Chuvatin c'est que ces températures très élevées "pourraient n'intéresser que des régions très petite, et très instables". On pense alors aux " points chauds " des manips de Lerner, liée à des plasmoïdes autoconfinés de taille micrométriques. Si c'était l'idée, cela voudrait dire que seules des régions de très petit volume seraient concernées par des températures aussi élevées. Mais il ne faut pas oublier qu'une température c'est aussi une densité d'énergie, en joules par mètres cube. Si cette température n'intéressait que de très faibles fractions du plasma, en volume et en masse, alors la pression devrait se déduire d'une évaluation de la densité moyenne d'énergie. Et la formule de Bennet ne serait plus satisfaite.
Il me semble plus simple, étant donné que la mesure de température par spectroscopie est en excellent accord avec la formule de Bennet, de conclure que cette élévation de température a de grandes chances d'intéresser toute la masse du cordon de plasma et non de minuscules points chauds.
Quant à la faisabilité de la fusion : nous n'en sommes bien sûr pas là, bien que la fusion D-T soit déjà envisagée au USA. Mais il est indéniable que les Z-pinches comme la Z-machine représente une voie ousider extrêmement intéressante, par rapport à des filières aussi lourdes que problématiques comme ITER ou MEGAJOULE, tout en étant d'un coût inférieur de deux ordres de grandeur et d'une souplesse tout à fait remarquable. Il est regrettable que deux années se soient écoulées depuis la publication du papier de Haines sans avoir suscité la moindre réaction en France, si on excepte la poursuite des essais sur la manip Sphinx, qui ne nous semble pas être à la hauteur, à la fois au plan matériel et au plan humain, de l'importance de l'enjeu : une fusion aneutronique !
16 février 2009 : Après de multiples échanges avec des physiciens des plasmas chauds et des gens ayant travaillé sur les Z-pinches, il se dégage les conclusions suivantes :
Ces milieux restent mal connus. De l'avis général ces plasmas seraient extrêmement turbulents, éventuellement le siège de micro-turbulences. Il est en effet indispensable d'expliquer d'où peut venir l'énergie émise sous forme de rayons X, qui représente quelque chose de concret, de mesuré, et qui excède d'un facteur 3 à 5 l'énergie cinétique collecté par les ions métalliques au cours de leur course vers l'axe du système. Comme on l'a vu, Malcom Haines invoque des instabilités MHD, sans les décrire. On invoque alors le mot de spheromaks, éléments autoconfinés qui se formeraient suite à cette instabilité, et impliquant la fermeture de lignes de champ magnétique sur elles-mêmes, selon une géométrie toroïdale. Dimensions de ces objets : conjecturale. Des gens comme Lerner ( manips Focus ) emploient le mot de points chauds. Les mesures effectuées n'ont pas présenté une résolution spatiale et temporelle suffisante pour mettre ces phénomènes en évidence.
Haines a évalué le chauffage par effet Joule et conclu que celui-ci était insuffisant pour justifier l'élévation de température mesurée. Mais comment comprendre ce mystérieux échange d'énergie entre le cordon de plasma et ce qui l'entoure, là où règle une pression magnétique de 90 mégabars, correspondant à un champ magnétique de 4800 teslas ? Quand Haines chiffre la dissipation par effet Joule il table sur un plasma homogène. Le champ électrique met les charges en mouvement. La progression de ces charges est contrariée par les collision avec tout ce qui, dans le plasma, peut faire obstacle. Dans la calcul de Haines il s'agit d'ions des différentes espèces présentes, leur section efficace de collision croissant comme le carré de leur charge électrique.
La turbulence rend le milieu inhomogène, à différentes échelles. En mécanique des fluides, une diffusion turbulente est plus dissipative qu'une dissipation laminaire. Prenons l'exemple d'un profil d'aile d'avion. Quand le turbulence se déclenche, la traînée de frottement à la paroi croît. La couche limite voit son épaisseur croître. En son sein les phénomènes dissipatifs dégagent plus de chaleur. Et tout cela se fait à travers des phénomènes de microturbulence, non visibles à l'oeil nu.
Il y a une analogie quand on pense plasma. L'écoulement du courant électrique, supposée dans l'évaluation de Haines s'effectuer de manière homogène ( simple hypothèse de travail ! ), cesse de devenir laminaire. Les zones de micro-instabilités MHD deviennent autant d'obstacles à la progression du courant. Il y a un accroissement d'impédance initialement signalé par Christian Nazet. Mais en outre la formation de tels spheromaks irait de pair avec une distribution chaotique du champ de température. C'est l'idée de Lerner. Dans un plasma dont la température serait globalement inférieure à la température critique de fusion et où les conditions de Lawson ne seraient pas établies ( à un niveau macroscopique ), ces conditions pourraient se présenter de manière fugitive dans ces petits objets dont on ignore à priori la durée de vie.
Il se trouve que j'ai passé ne journée entière, en bateau, il y a une trentaine d'années, avec l'astrophysicien Fritz Zwicky, inventeur du concept de supernova en 1931. Je me souviens soudain de son hypothèse des " lutins nucléaires ", spheromaks avant la lettres, qu'il imaginait se forer au coeur du soleil, par instabilités MHD et dont il m'avait parlé au cours de cette promenade en mer. .
Revenons aux Z-pinches. I l faut bien prélever l'énergie quelque part. En disponible, nous avons l'énergie magnétique présente autour du cordon de plasma. Rappelons-nous qu'une pression ( ici en l'occurrence la pression magnétique ) est une densité d'énergie par unité de volume. S'il y a transfert de cette énergie vers le cordon de plasma, cela se fera au détriment de cette énergie électromagnétique ambiante. Il ne faut voir là-dedans nulle " magie ". Les micro-instabilités qui prendraient naissance dans le plasma accroissent sa résistivité, créent une dissipation additionnelle et, en réduisant l'intensité du courant, réduisent du même coup la valeur du champ magnétique régnant à l'extérieur du cordon. Vases communicants.
Je connais bien l'instabilité électrothermique ( de Vélikhov ). C'est un type de turbulence de plasma bitempérature qui se traduit par des fluctuations importantes de la température électronique. D'un côté, en structurant le plasma comme un mille-feuille, avec alternance de zones fortement et faiblement ionisés, cela détruit les performances des générateurs MHD. Mais de l'autre cela montre comment une instabilité MHD peut créer localement ( ici dans des strates planes ) des zones plus chaudes, plus ionisées ( le phénomène est violemment non linéaire ). L'hypothèse de formation de points chauds évoque un autre schéma de naissances de micro-instabilités, cette fois en 3d. Dans de tels phénomènes, très non-linéaires, les excursions en température et en densité pourraient être importantes. D'où des réactions de "micro-fusion " possibles.
Il est donc prématuré de conclure qu'avec des systèmes comme la Z-machine on est " très loin de pouvoir réaliser la fusion ". Si on raisonne avec un plasma homogène : oui.
Passons à la question de la mesure de la température. D'abord, qu'elle-t-on température ? En théorie cinétique des gaz c'est la mesure de l'énergie cinétique moyenne, pour une espèce donnée. Un milieu peut être constitué par plusieurs espèces différentes, ayant chacune leur propre température. Ces températures peuvent fortement différer. Dans un tube fluorescent c'est la température électronique qui est beaucoup plus élevée que la température des ions et des neutres. On parle alors d'ionisation non-thermique ( où l'énergie est fournie par le champ électrique qui accélère les électrons. Si on coupe ce champ, les électrons perdent leur énergie par collisions : le gaz d'électrons se refroidit et l'ionisation disparaît.
On doit alors calculer une fréquence de collision électron-gaz. Son inverse devient un temps de relaxation. En effet, si on abandonne un milieu bitempérature à lui-même l'équipartition s'effectue au rythme des collisions.
L'équilibre thermodynamique complet c'est l'égalisation de toutes les températures à une valeur commune, et le fait que les distributions des vitesses de chaque espèce prennent la forme d'une distribution de Maxwell-Boltzmann ( courbe de Gauss ). Le plasma de la Z-machine est en état d'hors d'équilibre inverse au sens où c'est le gaz d'électrons qui est plus froid que le gaz d'ions. Si on fait abstraction de l'apport d'énergie lié à des instabilités MHD à modéliser ( la micro-turbulence du plasma ) l'énergie à prendre en charge est d'ordre cinétique. L.a force de Laplace agit sur les fils d'inox en les précipitant les uns contre les autres, en final à 400 km/s. Cette force agit sur les électrons. Le courant qui circule dans les fils est de nature électronique, pas ionique. Les électrons entraînent avec eux les ions. On ne peut en effet séparer ces populations, comme des conjoints trop bien unis, d'une distance excédent la Distance de Debye. Le résultat est que les ions et les électrons se rassemblent au voisinage de l'axe de symétrie à la même vitesse. Mais les énergies cinétiques sont différentes. Les particules légères en transportent moins.
Haines évalue alors différents temps de relaxation, liés aux différents types de collisions possibles.
- Il y a les collision électrons-électrons
- Les collisions ions-ions
- Les collisions électrons-ions
Le transfert d'énergie entre deux particules de masses dissemblables est proportionnel au rapport de la masse de la plus légère, divisée par celle de la plus lourde. A l'intérieur d'une même espèce, ces échanges d'énergie sont maximaux, puisque ce rapport vaut l'unité. Haines évalue alors le temps de relation à 37 picosecondes. Les courbes donnent un temps de confinement du plasma de quelques nanosecondes ( cinq, en gros ). Je ne sais pas quel est le temps de la mesure de température par élargissement de ries. Ca doit être dit quelque part dans le papier de Haines. Si on compare le temps de relaxation à l'intérieur d'une même espèce ( électrons-électrons ou ions-ions ) ce temps est plus d'un ordre de grandeur supérieur au temps de relaxation. Ceci suffit pour affirmer que les espèces ioniques sont passibles d'une description par une fonction de Maxwell Boltzmann
La mesure par élargissement de raie moyenne l'effet Doppler-Fizeau selon la " ligne de vue " comme disent les astronomes, c'est à dire selon une distribution radiale. Et voilà une nième façon de s'écarter de l'équilibre thermodynamique : l'anisotropie. Mais, me direz-vous, un milieu gazeux pourrait-il présenter un " faciès thermique " différent suivant l'angle sous lequel on le regarde? C'est ce qui se passe derrière onde onde de choc intense, véritable " coup de marteau " qui communique aux atome une impulsion d'abord perpendiculaire l'aide à l'onde, puis rapidement " thermalisée ", ce gain en vitesse d'agitation étant redistribué dans toutes les directions, en quelques collisions. Là encore on peut considérer un temps de relaxation. A vue de nez j'aurais tendance à dire que cette anisotropie devrait être négligeable. Mais là encore, toute conclusion se fonde sur des hypothèses sur la nature du milieu étudié, à une échelle microscopique. Son a ajoute en plus le champ magnétique et ses fluctuations locales et temporelles, bonjour !
Quelle fiabilité peut-on accorder à ces mesures de température par élargissement des raies ? Ne mesurerait-on pas la température d'un sous-ensemble : celui ... des points chauds ? On sait que la puissance rayonnée suit la loi de Stephan, dont croit comme la puissance quatrième de la température de la source. Dilemme.
C'est là qu'il faut se tourner vers l'équation de Bennet, la non-implosion du cordon de plasma. Son rayon passe par un minimum. A cet instant précis la pression ionique doit équilibre la pression magnétique, ce qui milite pour une température de 300 keV. Prenez une capsule manométrique. Elle nous fournit une valeur de la pression, en intégrant un très grand nombre de chocs de particules contre sa surface. Là il n'est plus question de loi de Stephan. La pression dans un mélange est la somme des pressions partielles. Et la pression c'est aussi une densité d'énergie par unité de volume. Si l'équation de Bennet nous fournir 300 keV cela donne une valeur moyenne de l'énergie des particules. Et celle-ci correspond à plus de trois milliards de degrés Kelvin, points chauds ou pas points chauds.
Je sais que tout cela est assez déroutant. Prenons l'exemple d'une tube fluorescent. Gaz froid, électrons chauds. Effectuons une mesure de température par spectroscopie ( dans un tube fluorescent la lumière est émise non pas le gaz mais par l'enduit fluorescent qui tapisse l'intérieur de l'enceinte ).L'émission du gaz se situe dans l'UV. Allons nous conclure que ce gaz est 10.000° ? Non, c'est le gaz d'électrons qui est à cette température. S'il n'y avait pas l'équation de Bennet nous pourrions être tentés de penser que notre mesure de température par élargissement de raies est biaisée.
Tout ceci nous fait conclure qu'il y a beaucoup de grain à moudre. J'ai recommandé ( vox clamat in deserto ) l'élaboration d'un projet européen de Z-pinch. Si le LMJ ne donne pas les résultats escomptés, il faudra bien se rabattre au plus vite sur quelque chose, en l'occurence de moins dispendieux.
Une dernière remarque.
Quand j'étais au colloque sur les Hautes Puissances Pulsées de Vilnius, Lithuanie, en septembre 2008 ( ou j'ai présenté trois communications, voir http://www.mhdprospects.com ) je me suis retrouvé, dès le premier jour, en tête à tête avec les Américains Matzen et Mac Kee, le premier étant le responsable de la manip ZR à Sandia et le second son adjoint. J'ai été très étonnés de les voir aussitôt sourire, quand je les ai questionnés à propos de ZR et de me dire aussitôt :
- Le papier de Haines, de 2006 ? Il s'est trompé, les températures étaient plus basses, d'un ordre de grandeur au moins !
- Mais, il y a quand même ces forts élargissements des raies spectrales ....
- Un israéliens, Yitziak Maron, a repris tout cela et conclu que Haines avait mal interprété ces spectrogrammes.
- Cela a-t-il été publié ?
- Non, on ne l'a pas fait, pour ne pas faire de peine à ce brave Malcom (...)
Le soir, comme j'insistais, Mc Kee se mit devant une console et me dit :
- Je vais envoyer à Maron un mail, devant vous, et demain nous aurons ses explications.
Le lendemain, je croise Mc Kee :
- Alors, ces explications de Maron ?
- Hmmm... nous préférerions ne pas publier tout cela pour le moment;
- Mais vous allez au moins me faire lire son mail .....
- C'est que ... il nous a répondu téléphoniquement (....)
Suivirent des explications confuses et peu convaincantes.
Deux jours après, Matzen présentait, sur l'estrade, l'avancement de ZR, en se focalisant sur les simples aspects de grosse technologie, magnifiques photos à l'appui. C'est là que j'ai appris que les manip d'obtention de glace VII n'avaient pas été obtenues par compression implosive mais par compression explosive, avec un autre schéma expérimental, où le courant se boucle comme un " parapluie ", c'est à dire avec amenée selon un pilier massif axial et retour par un liner à fils, au contact duquel on dispose le milieu à comprimer, à l'extérieur. Rien à voir avec les manips antérieures. A la fin de son exposé j'ai demandé le micro et dit :
- Nous avons eu, dans les jours précédents une discussion où vous avez mis en doute l'analyse faite par Haines des mesures de température faites sur la Z-machine, par spectroscopie et publiés en 2006 dans Physical Review D. Selon vous, la température des ions aurait été au moins d'un ordre de grandeur plus basse. Vous m'avez dit que Yitziak Maron, de l'institut Weisman de Jérusalem, était arrivé à cette conclusion. Comme cette affaire est importante, pourriez vous éclairer nos lanternes ?
Matzen :
- Hmmm.... this is a good question
Puis une minute de silence, qui fut brisée par le chairman de la session.
De retour à Bruxelles j'envoyais un mail à l'Israélien Maron, qui me dit une réponse confuse, sans répondre à mes questions, en disant le plus grand bien de Haines. Il devait, m'a-t-il dit, rejoindre Sandia dans les jours suivants.
J'ai envoyé un autre mail à Gerold Yonas, directeur scientifique de Sandia, qui me fit aussitôt une réponse des plus laconiques.
- Oui, c'est aussi un mystère pour moi. Je vais demander à Matzen d'éclaircir cette histoire.
Depuis fin octobre 2008, silence radio complet.
18 février 2008 : A propos de la Fusion aneutronique
Dans une réaction de fusion, deux noyaux doivent être approchés à une distance suffisamment faible pour d'une réaction nucléaire puisse se produire. La physique nucléaire est sur ce point analogue au monde de la chimie. La radioactivité, naturelle ou induite, signifie simplement que des noyaux sont instables. La fission est une réaction de dissociation spontanée donnant des noyaux de plus faibles masses que celui dont ils sont issus. Dans les dissociations de l'Uranium 235 ou du Plutonium 239, les produits de cette décomposition spontanée ont des masses voisines de la moitié de celle du noyau initial.
Il y a émission de neutrons, lesquels peuvent, en entrant en collision avec d'autres noyaux d' U235 ou de Pu 239, susciter de nouvellesr dissociations, fissions, induites par ces collisions. On peut alors parler d'une dissociation auto-catalysée. Les noyaux possèdent une section efficace de capture. Connaissant celle-ci il est alors possible de calculer la masse critique. C'est celle d'une sphère dont le rayon est égal, grosso-modo, au libre parcours moyen d'un neutrons, vis à vis de sa collision avec un noyau de matière fissile.
On peut réduire cette masse critique en accroissant la densité des noyaux, par compression, qui est dans les bombes, assurée par un explosif chimique. .
Soit un gaz à température absolue T. Si ce milieu est fortement collisionnel ( donc si le milieu est dans un état très proche de l'équilibre thermodynamique avec une statistique de Maxwell-Boltzmann ) , la valeur moyenne de la vitesse d'agitation thermique <V> de ces éléments sera donnée par la formule indiquée ci-dessous. Les quelques dessins et formules permettent de comprendre, de manière schématique, le concept de section efficace de collision ( conduisant ici à une réaction nucléaire ) et de fréquence de collision ( de la réaction nucléaire considérée ). Ici on réduit la vitesse des ions de masse m à la valeur moyenne <V>. On considère que tout ce qui est balayé au passage dans un " filet " constitué par la section efficace conduit à une probabilité de réaction égale à l'unité, et que pour ce qui est en dehors, que cette probabilité alors est nulle.

Fréquence de collision, temps caractéristique de réaction ( de fusion )
Mais il ne suffit pas que la fréquence de collision soit suffisante, que le temps caractéristique de réaction soit inférieure au temps de confinement. Il faut également que la température des ions soit assez grande pour que ceux-ci, cheminant à une vitesse centrée sur la vitesse moyenne <V> puissent franchir la barrière coulombienne, répulsive, qui s'oppose à l'approche de deux ions chargés positivement. Ceci conduit, pour un mélange deutérium tritium D - T à une température se situant entre 100 et 200 millions de degrés, température que les physiciens évaluent le plus souvent en kilo-électron-volts, en keV, selon la formule
e V = k T
e est la charge électrique de l'électron, soit 1.6 10-19 coulomb
k est la constante de Boltzmann = 1.38 10-23
Ainsi un électron volt équivaut à (e/k) degrés Kelvin, soit 11.600 ° K
Comme on raisonne en maniant des ordres de grandeurs, on assimile un eV, un électron-volt à une température de 10.000°K. Donc cette température ionique doit se situer entre 10 et 20 keV .
Pour que les réactions de fusion puissent démarrer il faut que les conditions de Lawson soient réunies.

Cette fonction L dépend de la température du plasma. La section efficace Q(V) dépend de la vitesse relative des noyaux et par de là de la vitesse moyenne <V>, donc de la température des ions.

Courbe de Lawson
La réaction deuterium tritium est neutronigène. On connaît depuis longtemps des réactions qui ne le sont pas. Voir Fusion aneutronique.
Seul un nombre réduit de réactions de fusion se produisent sans émission de neutrons. Voici celles qui présentent la plus grande section efficace.
2D + 3He → 4He (3,6 MeV) + p+ (14,7 Mev)
2D + 6Li → 2 4He + 22,4 MeV
p+ + 6Li → 4He (1,7 MeV) + 3He (2,3 Mev)
3He + 6Li → 2 4He + p+ + 16,9 MeV
3He +3He→ 4He + 2 p+ + 12,86 MeV
p+ + 7Li → 2 4He + 17,2 MeV
p+ + 11B → 3 4He + 8,7 MeV
Les deux premières utilisent le deuterium comme combustible, or certaines réactions secondaires 2D-2D produisent quelques neutrons. Bien que la fraction de l'énergie portée par les neutrons puisse être limitée par le choix des paramètres de la réaction, cette fraction demeurera probablement supérieure au seuil d'1%. Il est donc difficile de considérer ces réactions comme aneutroniques.
C'est sur la dernière réaction que se concentrent les efforts. Si la réaction mentionnée ne produit pas de neutrons, des réactions secondaires sont, elles, neutronigènes. Si on se base sur les temps de relaxation calculés par Haines, s'il existe une différence de température d'un facteur cent entre le gaz d'électrons et le gaz d'ions ( celui-ci était, dans cet état " d'hors équilibre inverse " , plus chaud ) on peut quand même considérer que la population ionique est dans un état proche de l'équilibre thermodynamique, autour de sa propre température, que c'est un plasma thermique. On a alors les réactions neutronigènes suivantes :
11B + alpha → 14N + n0 + 157 keV ( exo-énergétique )
11B + p+ → 11C + n0 - 2,8 Mev ( exo-énergétique )
Cet isotope du carbone a une demi-vie de 20 minutes.
Certains ont évalué l'énergie dégagée par ces réaction à 0,1 % de l'ensemble.
On trouve aussi une réaction produisant des gammas :
11B + p+ → 12C + n0 + γ 16 MeV
Cette réaction ne présente qu'une probabilité de 10-4 vis à vis de la réaction donnant des alpha
Il y a enfin des réactions neutronigènes Bore-deuterium, ou deutérium-deutérium :
11B + 2D → 12C + n0 + 13,7 MeV
2D + 2D → 3He + n0 + 3,27 MeV
, qu'on pourra éliminer en utilisant un combustible isotopiquement pur.
Le principal composant du blindage serait l'eau pour ralentir les neutrons rapides, le bore pour absorber ceux-ci, et du métal pour absorber le rayonnement X avec une épaisseur totale de l'ordre du mètre;
La température requise pour que démarrent les réactions Bore Hydrogène est dix fois supérieure à celle du mélange deutérium - tritium. Il y a en outre une question de réactivité optimale. Pour ce dernier mélange elle se situe autour de 66 keV ( 730 millions de degrés ). Celle du Bore hydrogène nous emmène à 600 keV ( 6 milliards de degrés ). Cependant, nous avons vu que l'obtention de très fortes températures était chose possible avec une Z-machine, en notant que la température maximale atteinte croissait comme le carré de l'intensité du courant. Selon cette logique la température que pourrait atteindre ZR serait de 9 milliards de degrés.
Aucune information disponible sur les performances atteintes par cette machine depuis ont entrée en fonctionnement
A ce stade il faut éviter de trop s'avancer, dans un sens comme dans l'autre. Le plasma chaud de la Z-machine n'est pas celui d'un Tokamak. Ajoutons que cette hypothèse des " points chauds " échappe pour le moment à toute description théorique. Mon opinion personnelle est qu'au lieu d'argumenter à perte de vue, il serait préférable de laisser la parole à Dame Nature, c'est à dire d'expérimenter. Précisions que le coût d'une Z-machine est de deux ordres de grandeur à celui d'un léviathan de la fusion comme ITER. Par ailleurs l'engin a une souplesse que ne possède pas ce dernier. Début 2008 j'avais rencontré au ministère de la Recherche et de l'Industrie Edouard de Pirey, jeune normalien, conseiller scientifique de Valérie Pécresse. Quand je l'ai rencontré il m'avoua d'emblée qu'il n'avais pas eu le temps de prendre connaissance du rapport, pourtant concis et clair, que je lui avais adressé. Je lui remis la copie de la lettre que Smirnov avait proposé d'envoyer, à condition d'avoir le nom d'un destinataire. Je demandais donc à de Pirey de démarcher auprès de sa patronne pour savoir si celle-ci accepterait de voir son nom figurer sur cette missive, en tant que destinataire.
Cette démarche resta sans écho. Même chose pour une demande de prise en charge de ma participation au colloque international de Vilnius, Lithuanie, sur les Hautes Puissances Pulsées, où je dus me rendre finalement à mes frais en septembre 2008.
On notera que l'approche des Z-pinches ne figure pas sur la feuille de route récemment publiée par la ministresse. Je laisse au lecteur le soin de formuler ses propres hypothèses concernant l'échec de ma démarche.
Je pense que les Européens devraient au plus vite constituer un groupe de recherche, en collaborant étroitement avec les Russes, maîtres en la matière. Il serait opportun, et même urgent de mettre quelques sous sur la table et construire une machine à vocation civile, accessible à tous, installée dans quelque pays " neutre " ( sur le plan technico-scientifique, s'entend ). La Z-machine française, l'engin Sphinx, installé à Gramat, dans le Lot, n'est pas améliorable. Avec des temps de décharge de 800 nanosecondes cette machine est trop lente. Je pense aussi que cela serait une erreur majeure que placer ce projet sous la houlette du secret défense, pour différentes raisons. Bien sûr, à travers une telle approche l'émergence de bombes à fusion pure devient " non-impossible ". Les Russes sont passés maîtres dans la manipulation des Hautes Puissances Pulsée, quand l'énergie initiale est un explosif. Périodiquement les Occidentaux découvrent, souvent avec stupeur, quelque nouvelle idée née au delà de l'Oural, qui change complètement la donne, comme celle des générateurs à disques.
La production de très forts courants se fait en comprimant, à l'aide d'un explosif, une cavité où on a créé un fort champ magnétique. Mais les explosifs chimiques induisent des vitesses d'implosions limitées. Si on divise la dimension caractéristique de l'enceinte par cette vitesse, on tombe sur des temps qui peuvent difficilement descendre en dessous de quelques microsecondes. C'est beaucoup trop lent pour une formule inspirée par la Z-machine, où ce temps ne peut excéder 100 nanosecondes. Dans un système classique la puissance de la décharge croît avec le volume de la cavité. Les Russes ont contourné le problème en donnant tout simplement à celle-ci la forme d'un ... accordéon. Imaginez un accordéon dont l'extérieur serait noyé dans un explosif, coulé tout contre sa chambre. Le volume total peut être important, tandis que l'épaisseur à écraser reste, dans chacune de ces cellules, assez faible. Cet aspect se trouve mentionné dans le versant anglophone de wikipedia.
Les militaires craignent fort les aspects " proliférants " d'une telle technologie, où l'amorçage des réactions de fusion ne passerait plus par le stade, technologiquement lourd, de l'enrichissement isotopiques. Mais que faire ? Rien ? Notre planète est au bord du collapse, par manque de ressources énergétiques. Allez donc dire aux Chinois et aux Indiens qu'ils doivent faire des économies !
Le choix est politique, à l'échelle planétaire. Une dernière remarque concernant ITER et Mégajoule :
Gilles de Gennes, avant son décès, avait été un de ceux qui avaient signalé les nombreux arguments rendant le projet ITER problématique, à moins qu'on ne considère celui-ci comme un plan social ou une façon, pour des milliers de chercheurs, d'ingénieurs et de techniciens, de passer une carrière complète dans une des plus belles régions du monde, la mieux située. De Gennes était très sceptique sur le fait que l'aimant supraconducteur d'ITER, situé au plus près du tore de plasma, puisse résister longtemps à un intense bombardement neutronique. Il a signalé qu'aucune étude préalable n'avait été faite sur ce plan, ce qui aurait été pourtant aisé, à l'échelle de maquettes disposées dans un flux de neutrons. Mais le résultat aurait peut être eu pour conclusion l'arrêt immédiat de la construction de cette véritable cathédrale pour ingénieurs..
Second point : les plasmas de fusion sont collisionnels, ce sont des plasmas thermiques, proche de l'équilibre thermodynamique. La distribution des vitesses de ions est donc du type de Maxwell-Botzmann, avec une queue de distribution boltzmanienne, peuplée d'ions rapides :

Ions rapides en quque de distribution boltzmanienne
Ces ions franchiront immanquablement la barrière du champ magnétique de confinement.En frappant la parois et les différents objets constituant l'enceinte, ils en détacheront des atomes lourds.

Pollution du plasma de fusion d'un tokamak, lié à l'arrachement d'ions lourds à la paroi
Ceux-ci, s'ionisant immédiatement, et acquérant une charge Z, subissant par ailleurs les effets du gradient de pression magnétique, rejoindront l'âme du coeur du plasma en polluant celui-ci. Or les pertes radiatives liées à l'interaction entre les électrons du plasma et les ions ( rayonnement de freinage ou Bremstrahlung ) croissent comme le carré de la charge électrique des ions Z.

Pertes radiatives par interaction électrons-ions ( rayonnement de freinage )
Personne ne voit comment empêcher cette pollution du plasma par ces ions lourds, ni comment dépolluer celui-ci. L'accroissement des pertes radiatives fera chuter la température et la chaudière de la machine à vapeur du III° millénaire s'étouffera. Lorsque j'ai soulevé cette question, lors de réunions publiques avec les gens d'ITER, leur unique réaction a été :
- Ceci est une bonne question.....
Si on se demande si la machine ITER permettra d'obtenir des réactions de fusions à un rythme important et soutenu, il est possible que la réponse soit positive, sur des échelles de temps brèves. Mais si la question est " ce type de machine pourra-t-il, à terme, déboucher sur un réacteur opérationnel et résoudre les problèmes des besoins en énergie de l'humanité ?" , il me semble que la réponse doit alors être formulée par la négative.
Je ferai une autre remarque, concernant cette fusion impulsionnelle. Elle se prête à une conversion directe. Le plasma de fusion entre en expansion. Si cela se produit dans un champ magnétique, comme le nombre de Reynolds magnétique est très élevé, il y a " compression de flux " et courant induit. Rendement : 70 % . Pas de pièces mobiles. Pourquoi se compliquer la vie avec un échangeur, une turbine à vapeur. Pourquoi pas une roue à aubes, pendant qu'on est ? Je crois au " deux-temps à fusion ", à terme. Il y a d'autres solutions que les Z-pinches pour cette fusion impulsionnelle. Nous n'avons fait qu'effleurer la question.
Il existe dans la nature des systèmes réalisant des fusions impulsionnelles. Ce sont les quasars. Je ne pense pas que l'énergie vienne " de l'accrétion par un trou noir géant ". Des fluctuations conjointes des métriques des deux univers jumeaux créent une onde de choc centripète, dans le gaz interstellaire d'une galaxie. J'avais déjà décrit cela dans " On a perdu la moitié de l'univers ", paru en 1997 chez Albin Michel. Echo médiatique strictement nul. Le gaz est comprimé sur son passage, déstabilisé. Des étoiles jeunes se forment qui, crachant dans l'UV, ionisent ce gaz interstellaire. Le nombre de Reynolds magnétique monte et l'onde gazeuse entraîne alors les lignes de champ de la galaxie ( frozen in ), comme un paysan serre des épis de blé. Le collapse se termine par une boule de plasma minuscule à l'échelle d'une galaxie, mais où les conditions de Lawson sont atteintes dans la masse et non à coeur, come dans une étoile. D'où ces objets qui " aussi petits que des étoiles, émettent autant qu'une galaxie". Le plasma est alors éjecté selon deux lobes, en suivant la direction du champ magnétique dipolaire. Le gradient de champ magnétique accélère les particules chargées sur cent mille années lumière de distance. Ainsi se forment les " rayons cosmiques" dans ces accélérateurs de particules naturels de grande taille.
Quand les fluctuations conjointes des métriques se traduit par un affaiblissement du confinement, le galaxie .. explose. Ce sont les " galaxies irrégulières ", à propos desquelles le célèbre astrophysicien anglais sir James Jeans ( découvreur de l'instabilité à laquelle il a attaché son nom, de même que l'équation qui la décrit ) disait :
- Les formes souvent incroyablement tourmentées de certains galaxies laissen à penser qi'elles sont les siège de forces colossales, dont nous ignorons tout.
Quand à l'installation LMJ ( Laser Mégajoule ), il n'a jamais été dit nulle part, en dehors de la reprise des couplets habituels ( " le soleil en éprouvette ", " un domaine de recherche pour astrophysiciens" ) que cet outil de travail pour ingénieurs militaires s'inscrive dans une tentative de résoudre le problème des besoins en énergie de la planète.
Retour vers Nouveautés Retour vers Guide Retour vers page d'Accueil
