![]() |
...Brian Greene, L'univers élégant ...Trente-cinq ans, présenté comme "l'un des spécialistes mondiaux de la théorie des cordes". Sur la page de couverture, on peut lire : Une révolution
Ci-après, quelques phrases extraites de son ouvrage.
|
page 61 : Durant les années 84 à 86 les physiciens du monde entier ont publié en tout plus d'un millier d'articles de recherche sur la théorie des cordes.
page 189 : Cependant les jugements esthétiques n'arbitrent pas la vérité scientifique. Au bout du compte, les théories ne sont jugées que par la façon dont elles résistent aux dures et froides réalités expérimentales.
et, à la page suivante :
...Les décisions que prennent les théoriciens ne sont motivées que par des raisons d'esthétique, en vertu desquelles les théories doivent exhiber l'élégance et la beauté structurelle qui vont de pair avec le monde que nous observons. Evidemment, rien ne dit que cette stratégie conduise à la vérité.
page 247 : La supersymétrie apparaît comme un concept unificateur fabuleux (*)
(*) Fabuleux : qui appartient à l'imagination, chimérique (Larousse).
page 235 : Fait ironique, nous verrons que bien que la théorie des cordes soit potentiellement la plus prédictive que les physiciens aient jamais étudiée, ceux-ci ne sont pas en mesure de faire des prédictions suffisamment précises pour pouvoir être confrontées aux données expérimentales.
p. 235 : La théorie des cordes est-elle correcte ? Nous n'en savons rien.
p.252 : Il est tout à fait envisageable que plus d'une génération de physiciens consacre sa vie à l'étude au au développement de la théorie des cordes, sans jamais recevoir en retour le moindre écho expérimental.
p.300 : Edward Witten (*) est considéré comme le digne successeur d'Einstein dans le rôle du plus grand physicien vivant. Certains vont même plus loin et disent qu'il est le plus grand physicien de tous les temps.
(*) Witten, médaille Field, est un des pères-fondateurs de cette théorie. Ci-après, la photographie de celui-ci :

Edward Witten
p.308 : C'est un des rares exemples, en physique, où l'absence de phénomènes observables importants est source d'une grande excitation.
...Mon opinion personnelle sur cet ouvrage :
...Le livre de Greene est une machine de guerre redoutable, qui pourrait faire de lui l'Hubert Reeves de la physique théorique. En effet, concédons-lui cela, c'est un excellent vulgarisateur. Les cent cinquante premières pages de son ouvrage sont entièrement consacrées à de la vulgarisation de concepteurs-clefs, mais très classiques, de la physique moderne. L'ouvrage compte 465 pages. Peu de lecteurs, en fait, vont beaucoup plus loin. Je parle du "lecteur moyen". Ayant compris un certain nombre de choses dans ces cent cinquante premières pages, assez bien ficelées, il est donc prêt à délivrer un chêque en blanc à l'auteur. On a vu l'annonce sur la page de couverture :
De l'infiniment grand à l'infiniment petit, l'unification de toutes les théories de la physique.
...Il n'est pas écrit "...vers une unification de toutes les théories de la physique". Le lecteur serait donc en droit de trouver dans cet ouvrage les éléments de cette chronique d'une unification annoncée. Or ce livre ressemble à une maison de passe où après avoir payé son écot à l'entrée le lecteur se trouverait face à une succession de portes, comportant des paneaux : "Brune, Blonde, Rousse", puis "Grande, Petite, Moyenne", etc.. Après avoir franchi un nombre important de ces huis, il voit devant lui une ultime porte, qu'il pousse et se retrouve... dans la rue.
...Si vous feuilletez cet ouvrage dans une librairie, allez par curiosité directement à la page 415. Vous êtes alors à cinq pages de la fin du livre, en plein dénouement. Le titre du chapitre est :
La théorie des cordes peut-elle être testée expérimentalement ?
...Vous n'y trouverez pas de réponse positive, ni même de suggestion. Pourtant la théorie des supercordes a la réputation d'être une "TOE" (theory of everything" : une " Théorie de Tout " ). Mais elle est semblable à un outil dont on ne posséderait que le manche, bien que n'importe quoi puisse s'adapter sur celui-ci. Citons Brian Greene dans cette conclusion :
...Bien sûr, nous pourrions être encore plus optimistes (...), et espérer que dans les dix années à venir - avant même la mise en fonctionnement du grand collisionneur de hadrons (LHC) de Genêve - la théorie des cordes aura suffisamment progressé pour que l'on puisse faire des prédictions détaillées sur les particules supersymétriques, avant leur découverte, tant espérée. Leur confirmation serait un succès monumental dans l'histoire des sciences.
...Mais comment diable se faire une idée sur cette fichue théorie ? Quels arguments lui opposer ?
...La physique théorique
est en crise depuis le milieu des années soixante. L'électrodynamique
quantique (Feynman) est en fait la dernière grande avancée de
la science fondamentale moderne. Elle est à la fois explicative et
prédictive. Lisez à ce sujet un livre excellent "Lumière
et matière, une étrange histoire" de Richard Feynman, dans
la collection Points-Sciences. C'est une théorie qui marche remarquablement
bien mais, comme Feynman est le premier à le souligner : on ne sait
pas pourquoi cela marche.
...Les grands succès de la physique quantique
ne doivent pas nous faire oublier cet étrange paradoxe : c'est une
théorie fonctionnelle, ô combien, mais dont aucun théoricien
ne peut dire pourquoi cette théorie fonctionne, quelle est sa "base
ontologique". Elle est née de considérations analogiques.
L'équation de Schrödinger n'a pas été au départ
conçue pour "servir de base à la théorie quantique".
On s'est simplement aperçu qu'elle recélait beaucoup plus de
trésors, qu'elle possédait beaucoup plus de vertus qu'on ne
lui en avait prétés au départ. Les gens des cordes ont
donc fait le même raisonnement. Quelqu'un a imaginé que le réel
puisse être constitué de "minuscules cordes", possédant
des nombreux modes vibratoires. Ceux qui suivent un peu l'actualité
savent que ces dernières années les superstring men ont envisagé
de passer des cordes aux membranes vibrantes, à deux (les membranes,
ou 2-branes), ou même plus de deux dimensions (les n-branes). Mais à
la différence de l'équation de Schrödinger, l'équation
ne partait de rien a priori. Ca n'était pas une équation construite
pour rendre compte d'une certaine classe de phénomènes dont
on puisse espérer qu'elle soit susceptible plus tard capable d'en gérer
un nombre beaucoup plus important. Le formalisme des cordes ou des supercordes
ne partait de rien à priori. Ce ne sont au départ qu'un jeu
purement mathématique. Un peu comme si quelqu'un s'était un
jour demandé "quelle musique pourrais-je produire en utilisant
un violon à dix dimensions ?"
...Le fait de ne pas partir de quelque chose a priori n'était pas condamnable en soi. Le tout était quand même de trouver un moyen d'accrocher ce formalisme à une quelconque réalité, à un moment où à un autre . Or depuis trente ans ça n'est pas le cas. La théorie des supercordes est une schizophrénie, un autisme puissamment organisé. Mais pourquoi, me direz-vous, une telle folie aurait-elle pu soudain s'emparer du monde de la physique théorique ? La réponse est simple : on n'a rien d'autre à se mettre sous la main. Les "non-cordistes" n'ont rien à proposer, comme le fait remarquer Greene dans son livre.
...La physique théorique, et la physique tout court, connaissent une crise majeure (de même que la cosmologie et l'astrophysique). On vient de fermer le CERN. Cette structure complexe avait été conçues dans le but de réaliser un certain nombre d'expériences, qui ont toutes été faites et refaites. Avec une telle énergie, il n'y avait plus rien à envisager, à suggérer et à ... expliquer. Expérimentateurs et théoriciens du CERN se retrouvent donc en plein chômage technique, après fermrture de leur boutique.
...Faisons un rapide retour en arrière. Au début du siècle on découvre les atomes, les électrons, les protons, les neutrons, puis un certain nombre d'autres particules, impliquées dans le "jeu nucléaire", comme les mésons. La stratégie des physiciens étaient simple. Ils essayaient en effectuant sur des structures des tirs de plus en plus violents de "démonter la matière" en ses constituants. Pour les molécules, les atomes, les noyaux, ça avait plutôt bien marché. Il restait à démonter à leur tour protons et neutrons. Le plus simple était d'utiliser deux accélérateurs où communiquer de l'énergie à deux troupeaux de protons. Vous savez peut être que cela prend du temps, des heures, même. A chaque tour les protons gagnent un peu plus en vitesse, s'approchent de plus en plus de la limite relativiste. Puis ces deux anneaux de stockage sont mis en communication et, les deux troupeaux de protons se tombant dessus en sens inverse, on obtient un "collisionneur".
...Boum.....
...Certains s'attendaient à pouvoir récupérer ainsi les éléments dont ces protons étaient censés être faits, à savoir les quarks. L'identification de quarks à l'état libre ne devait pas poser de problème, étant donné qu'ils possédaient des charges électriques fractionnaires : 2/3, 1/3 . Mais : pas plus de quarks à l'état libre que de beurre en broche. Il fallait donc comprendre le pourquoi de cette absence. Il y a différentes façons de formuler la "réponse" à cette question, comme de dire, par exemple, que la force qui lie deux quarks, à la différence d'autres forces connues, croît avec la distance. Donc, si ces quarks à l'état libre avaient l'idée d'exister, cette existence célibataire ne serait que de très brève durée, la recombinaison, pour former tout un bestiaire décrit par ce qu'on a appelé la chromodynamique quantique, était "pratiquement instantannée".
...Si je puis me permettre une comparaison, les quarks me font penser aux épicycles de Ptolémée. C'est une sorte de description phénoménologique du "réel" qui se fonde sur la phrase "tout se passe comme si...."
...D'un autre côté, la mécanique quantique "secrête" une longueur caractéristique, la longueur de Planck. C'est le propre des modèles théoriques (quand ils ont la prétention de décrire quelque chose). Ils ont leurs limites. Je cite un exemple. Prenez la mécanique des fluides et la description qu'on peut en donner à travers les équations de Navier-Stockes. Ca marche assez bien. Mais il existet des échelles de longueur et de temps en delà desquelles ce système d'équations différentielles ne vous sera plus d'aucune utilité, par exemple si vous envisagez d'étudier la chute libre d'une molécule d'un gaz au milieu de ses voisines, sous l'effet de la pesanteur, ou parce que, porteuise d'une charge électrique, elle est mue par un champ. Impossible de considérer et de calculer "l'écoulement du fluide autour de cette molécule". Ca n'a plus de sens.
...La théorie quantique possède des limites semblables, qui s'articulent autour de la longueur de Planck : 10-33 cm et du temps de Planck 10-43 seconde. Vouloir étudier un phénomène qui met en jeu des échelles de longueur et de temps inférieures n'a plus de sens, tout simplement. Bien sûr, ces grandeurs sont excessivement petites et il n'existe nul phénomène dans la nature qui fasse état de tels ordres de grandeur. Il y a une autre façon de voir les choses. L'inverse du temps de Planck est une fréquence. En multipliant par la constante de Planck on obtient une énergie, de l'ordre du milliard de joules. Exprimé en électro-volts, cela donne 1020 Gev. On arriverait au même résultat en assimuilant la longueur de Planck à une longueur d'onde. Certains on estimé que pour mettre en jeu de telles énergies, il faudrait pouvoir construire une accélérateur grand comme une galaxie. N'importe quel physicien hausse les épaules en voyant de telles choses. Mais, conceptuellement, ces grandeurs nous interpelllent. En cosmologie, elles font que des gens se posent la question :
- Que se passe-t-il quand l'âge de l'univers devient inférieur à 10-43 seconde ?
...Cette question a-t-elle un sens ? Toutes les questions ont-elles un sens ? Tout dépend comment elles sont formulées. Si je vous demande "pourquoi est-ce que le vide pleut ?", vous me répondrez : "votre question n'a aucun sens !". Mais comment vérifier si une question a un sens ou non, quand on ne sait même pas de quoi on parle ?
...Revenons en arrière. Qu'est-ce que le réel ? Un objet d'étude qui peut être abordé à l'aide d'équations, répondra le physiciens théoricien.
...Mais qu'est-ce qu'une équation ? Réponse : quelque chose qui traduit un phénomène de conservation (de l'énergie, par exemple), du genre
A = B
ou :
A - B = 0
...Les équations de la physique sont des équations différentielles, y compris celle de Schrödinger, de Klein-Gordon, etc. Il y a donc un présupposé : que le réel soit un continuum et qu'on puisse entre autre disséquer à l'infini l'espace et le temps. C'est la définition même de la différentiabilité. Or regardons ce que font les gens des supercordes. Ils partent de cette distance-butoir, la longueur de Planck. Il évoquent alors ces violentes turbulences qui règnent à l'échelle "subquantique", turbulences qui m'ont toujours paru posséder un caractére onorique, puisqu'aucune équation n'est à même de les décrire et qu'aucun phénomène n'est capable d'en rendre compte. Le but que se donnent ces gens des supercordes, ce qui est clairement indiqué dans le livre de Greene, est faire disparaître ce fâcheux problème. Pour ce faire, tous les constituants de lunivers sont assimilés à des états vibratoires d'objets appelés "cordes" dont la dimension caractéristique se trouve alors être cette famense distance de Planck. Les "modes vibratoires" de ces cordes, supercordes, membranes ou n-branes sont quasi infinis. Les superstring men espèrent découvrir les "équations ultimes" permettant de maîtriser enfin le problème (le simple fait d'employer le mot "équations" implique une croyance implicite dans la différentiabilité de l'univers, en tant qu'objet géométrique). L'approche supercordes implique, au passage, que l'univers soit doté de dimensions additionnelles, en associant encore à chacune cette minuscule dimension caractéristique : la longueur de Planck. Ces dimensions se mêlent, s'enroulent et "des considérations de symétrie" montrent alors qu'elles doivent se constituer en des structures géométriques particulières, dites de Calabi-Yau. Ci-après, une géométrie de Calabi-Yau, en deux dimensions, obtenue à l'aide du logiciel Mathematica, reproduite par Greene dans son ouvrage :

...Les cases correspondent à la résolution choisie dans ce logiciel de production de surfaces à partir d'une équation. A priori le plan tangent existe et varie continûmement. L'objet est tarabiscioté mais, pour un géomètre, il pourrait s'agir d'une "immersion", dotée ou non de points singuliers, "cuspidaux", de pincements ou autres. Il n'empêche que cette espèce de nombril 2d est entièrement logé à l'intérieur d'une "case de Planck".
...Greene ajoute que l'approche "cordiste" permet justement de masquer les violentes turbulences du monde subquantique puisque, constituant les objets ultimes de l'univers, elles en sont aussi les instruments d'analyse, les "scalpels". Il est bien connu qu'on ne saurait découper des tranches de saucisson plus fines que l'épaisseur du tranchant de la lame qu'on utilise pour les obtenir. Selon Greene, la corde ou supercorde étant le constituant ultime, ayant pour dimension caractéristique la longueur de Planck, on ne peut plus descendre à une échelle inférieure et les fluctuations subquantiques, écrit-il, à la limite "cessent d'exister".
...Mais alors, avec quel outil, fut-il conceptuel, dissèque-t-on une structure de Calabi-Yau ?
...Je conçois qu'au plan mathématique tout ceci constitue un jeu extrêmement divertissant. Greene s'y exerce d'ailleurs, avec ses petits camarades, en découvrant une forme de" "chirurgie" dans ces structures de Calabu-Yau, ce qui paraîtra tout à fait naturel à n'importe quel géomètre. Par exemple, en effectuant des pincements sur un cylindre, vous pouvez le transformer en chapelet de saucisses. En supprimant ces pincements on fera inversement évoluer un chapelet de saucises en cylindre. De ce côté-là, les sources d'amusement sont quasi infinies. Ci-après, un exemple de ce genre d'exercice trouvé page 283 de l'ouvrage.

Septembre 2005 : une petite remarque d'un lecteur :
- J'ai trouvé à quoi peuvent servir les surcordes. A tresser des filet pour attrapper les formes de Calabi-Yau. Parce que le Calabi-Yau à la moutarde, c'est excellent.
Que cela puisse être extrêmement amusant, je n'en disconviens pas, surtout si on passe à un nombre de dimensions supérieure à deux. Que de tels travaux puisse valoir à leur auteur une récompense scientifique, pourquoi pas (Witten est détenteur d'une médaille Field) quoiqu'il puisse sembler un peu ridicule que des travaux de ce genre engendre des "frissons intellectuels" (Witten). Ceci étant, où est la physique dans tout cela ?

...Mon opinion est que la "théorie des supercordes" est la plus grande escroquerie scientifique de tous les temps, escroquerie consistant à faire passer des travaux de mathématiques pures pour de la physique. Comment une telle mystification, dans laquelle se sont engoufrés depuis des décennies des milliers de chercheurs, a-t-elle été possible ? Parce qu'en dehors de cela, il n'y a rien, ou très très peu de choses. En effet, à quoi pourrait ressembler une théorie concurrente ? A une vision quantifiée des dimensions de l'univers, tout simplement. Cette idée n'est pas neuve. Elle a été envisagée par nombre de scientifiques qui, ceux-là, ont laissé leur nom dans l'histoire des sciences, comme Heisenberg, par exemple. Mais, si on opte pour cette approche, ce sont les outils mathématiques qui se dérobent. Quels outils utiliser ?
...Citons pour mémoire le travail d'Eyal Cohen, du Lyman Laboratory of Physics, université de Harvard, Massachusetts, intitulé
Random Lattices as Theories of Space-Time
...Dans l'abstract on peut lire "The theory is based on a discrete space-time formulation and is invariant under general coordinate transformation". "Random Lattices" signifie "réseaux ou treillis aléatoires". Pour le moment, cela ne va pas bien loin, mais c'était simplement histoire de citer quelque chose d'alternatif, de fondamentalement différent. Pourquoi n'y a-t-il pas des milliers de chercheurs qui se soient engoufrés dans cette voie ? Parce que cette approche est peut-être moins "féconde" que celle des supercordes. Vous avez bien lu : entre 84 et 86 plus de mille papiers ont été publiés sur le sujet, dans le monde. Cela signifie simplement qu'il existe de très nombreuses façons de faire "vibrer" ces objets, de très nombreuses façons de faire se tortiller des formes de Calabi-Yau, chaque tortillement constituant un excellent sujet de thèse de doctorat et une excellente matière à publication. Il est peut être beaucoup plus difficile de tricoter des réseaux aléatoires. Par ailleurs, les fournisseurs, en matière de science, étant également les clients il faudrait immédiatement créer une revue :
The quantum lattices journal
par exemple.
...Le monde des supercordes s'est vite puissamment organisé. Il a ses revues, son système de referees, d'experts. Il a aussi son gourou : Witten. Recevoir l'approbation d'un tel personnage équivaut à une consécration dans ce monde clos, comme jadis le fait d'être cité par Lacan pour un psychanalyste.
...On connaissait déjà la définition que Souriau donnait de la physique théorique :

...Sa réaction après la publication du livre de Brian Greene :
- La physique théorique, de nos jours, est devenue un vaste hôpital psychiâtrique et hélas, ce sont les fous qui ont pris le pouvoir....
...Je vais tenter de donner une image de cette évolution extrêmement déconcertante de la physique théorique contemporaine. Imaginez que vous survoliez un champ de bataille, d'assez haut. En bas, des "blancs" et des "noirs" s'affrontent. Ces centaines de milliers de "blancs" et de "noirs", vu d'assez haut, semblent constituer un tissu continu. Là où les "noirs" offrent une densité moindre, cela apparaît "gris". Etc...
...En diminuant votre altitude, vous réalisez soudain que ce qui vous avait paru continu ne l'est point. En fait, ce qui se déroule en contrebas est une sorte de jeu. Des "objets", ou ce qui vous semble être un ensemble d'objets ne se déplacent pas vraiment. Comme aux échecs, cet univers est fait de cases discrètes. Le présent lui-même possède une épaisseur finie : la durée du coup.
...Consultez un joueur d'échec et demandez-lui ce qui se passe, entre le moment où un roi passe de d1 à d2. Que lui arrive-t-il pendant ce "voyage subquantique" ? Il vous regardera avec des yeux ronds. Même attitude si vous lui demandez ce qui se passe entre deux coups, aux échecs, sur l'échiquier, bien sûr, ou avec quel matériau sont faites les pièces, quelle est leur forme exacte.
...On pourrait aussi envisager de faire vibrer ces cases d'échecs, dont la dimension caractéristique serait bien entendu la longueur de Planck. On découvrirait au passage qu'il existe un nombre absolument fantastique de façons de les faire vibrer, en tant que "2-branes". En leur adjoignant quelques dimensions supplémentaires le jeu deviendrait encore plus riches. Il s'agirait alors de faire vibrer des hypercases à n dimensions, qui devraient alors, peut-être, être structurées en forme d'hypersurfaces de Trondheim-Balnukov, ou de Malcom-Bérénichkowicz. De là à imaginer que ces hypercases puissent être l'objet de convulsions, de réarrangements internes fort complexes, il n'y a qu'un pas. Comme disaient les Shaddock "pourquoi faire simple quand on peut faire compliqué".
...Bien sûr, la raison suffisante de cette démarche, le but ultime serait de décrire les "coups" en tant que résultat de l'interaction vibratoire entre cases adjacentes. Vous espérez ainsi, parmi ces dizaines de milliers de façons différentes de faire interagir ces cases vibrantes pouvoir un jour retrouver par exemple le jeu de dames ou les échecs. Mais une chose est sûre. Ce faisant, vous avez construit le :
TOEG
...En Anglais "Theory of Every Game", la théorie de tous les jeux.
...Jamais on n'aurait conçu de théorie potentiellement plus globale que la vôtre, puisqu'elle les contiendrait a priori toutes. Ce serait l'instrument de musique absolu, le Gaffophone décadimensionnel, la harpe ultime.
...C'est à essayer....
Le lendemain de l'émission sur ARTE consacrée aux superdordes, animées par Brian Greene
Le temps du Grand Foutage de Gueule
10 mars 2005
J'ai consacré un dossier à la nomination de Veneziano, grand précurseur de la théorie des cordes et supercordes, document que j'ai intitulé ( le mot est de Souriau) "Cinquante ans de Non-Physique ". C'est déjà une nouvelle que je considère comme catastrophique. Hier, avec deux de mes collaborateurs nous nous sommes accrochés à nos chaises pour suivre une des émissions proposées par la chaîne Arte à propos du centenaire de l'invention de la Relativité Restreinte par Albert Einstein, en 1905. Je crois que le titre était quelque chose comme "ce qu'Einstein n'avait pas vu, ou pas compris..."
Et qu'est-ce que nous avons vu sur le
petit écran ? Le petit Brian Greene.

Brian Greene, l'homme qui ne vaut pas la supercorde pour le pendre
J'ai du m'accrocher à ma chaise.
Si vous avez suivi cette émission, repensez à ce qu'on vous a présenté : une foutaise, une imposture complète. C'était choquant. En fait je jeune Greene tente de faire l'équivalent de ce qui avait été produit par Carl Sagan il y a vingt ou trente ans avec sa série "Cosmos" ( série d'émissions à la télévision, livre qui devient aussitôt un best seller international, conférences, etc ). A l'occasion de ce centenaire de la découverte de la Relativité Restreinte on est donc allé chercher "la fine fleur des physiciens". Quel déballage. Ils y sont tous : Michal Duff, Leonard Susskind, Witten, Horowitz Schwarz, Alan Guth ( qui déclare, sententieux " je n'aime pas le néant " ).
Est-ce que les spectateurs qui ont suivi cette émission, où Greene passe son temps à se mettre en valeur et va même jusqu'à se multiplier en cinq exemplaires devant la caméra, ont pu réaliser que tous ces discours étaient vides, totalement vides. Toutes les proposition sont au conditionnel.
Sa ma tante en avait, ça serait mon oncle !
J'ai noté quelques phrases :
- Einstein n'avait pas toujours raison, dit ce petit prétentieux de Greene, qui n'a jamais rien trouvé de toute sa vie, ne laissera rien.
- Les cordes "apaisent le chaos"
- Les cordes "reprisent l'espace"
- Les particules sont de petites cordes. Les cordes génèrent toutes les particules de la nature (alors qu'on ne dispose à ce jour d'aucune description des particules par les cordes. Ca n'est qu'un ... rêve, qu'une idée totalement dénuée de consistance )
Braves gens, ces scientifiques se foutent tout simplement de votre gueule avec l'argent de vos impôts, en toute impunité, depuis ... trente longues années. La vacuité de leurs propos révèle la crise dans laquelle la physique théorique s'enfonce depuis trente ans. Et le petit Greene continue ses tirades au conditionnel :
- Si on parvient à "maîtrise le rythme des cordes", alors on expliquera tout et cette théorie pourrait bien tenir ses promesses, c'est d'être une " Théorie de Tout" .
Quousque tandem abutere ,Catilina, patienta nostra?
( pages jaunes du dictionnaire)
Pendant combien de temps et jusqu'où continueras-tu à abuser de notre patience, Catinila ?
Je lance un défi, qui ne sera très probablement jamais relevé. J'aimerais bien, moi qui estime avoir quelques petites choses à dire, pouvoir le faire devant Veneziano, au Collègue de France, ou devant Thibaud Damour, à l'Institut des Hautes Etudes (dont ce dernier m'a barré l'accès de son mieux). Je leur lance un défi à ces deux-là, eux dont les paroles ne sont que du vent. Allez voir les propos de notre docte académicien, à propos de sa théorie de l'avant Big Bang, lequelle, selon lui, "n'est pas tout à fait mûre".
Ben voyons....
Pour faire bonne mesure il faudrait inviter Charpak. La physique fondamentale est dans une telle impasse qu'on finit par donner des prix Nobel à des concepteurs d'appareils de mesure. Un homme qui n 'a pas hésité à tailler en pièce et à diffamer mon ami Jacques Benveniste. Mais pourquoi ne s'en prendrait-il pas à un physicien comme moi ? J'accepterais la descente dans le champ clos, immédiatement, devant "les pairs" ou les journalistes, s'il le souhaite, puisqu'il aime tant s'exprimer dans les médias, en jouantg les censeurs.
- Viens un peu, bonhomme, t'en prendre à un adversaire qui soit de ton milieu, toi qui a une si grande gueule !
Les Cosmic Troupiers tiennent le haut du pavé, tandis que les chercheurs qui ont réellement trouvé des choses se trouvent .. excommuniés, frappés d'ostracismes, interdits de médias. Choquant, lamentable. Je suis en colère et je le dis.
Je reviens à cette émission, cauchemardesque. Tous les "champions" y passent, les uns après les autres. Greene, qui joue le monsieur Loyal de ce cirque, car ça n'est rien d'autre qu'un lamentable cirque, nous apprend qu'avant 1984 il y avait cinq théories de cordes mais que cette année-là un véritable "coup de tonnerre" fut lancé par le fer de lance de ce groupe, Ed Witten, récompensé par une médaille Field ( un prix de maths ) pour certaines retombées de maths pures de ses travaux, mais pas "pour ses travaux sur les supercordes". Witten, c'est la justification, "l'honneur" de cette troupe confuse, sa seule "lettre de noblesse". Pensez donc, il a récolté un prix, l'équivalent du prix Nobel, mais pour les maths ! .....

Evoquant cette " révolution ", Greene :
- Ca a été un choc pour tout le monde, mais on a appris à vivre avec.
Il vaut mieux entendre ça que d'être sourd. Mais, est-ce que vous, téléspecateur, avec compris que ce type, sous vos yeux, ne faisait qu'allonger connerie sur connerie ?!?
Dans son livre Greene écrit "que Witten est considéré comme le plus grand physicien depuis Einstein" et qu'il est peut-être "le plus grand physicien de tous les temps". Quelle grandiloquence imbécile ! Witten est .... un physicien sans physique, un champion de la pensée à géométrie variable, expert en effets d'annonce, en "coups de tonnerre" parfaitement creux et dénués de fondement ( exemple, les "cordes cosmiques ", une autre de ses inventions ), un spécialiste sans discipline, un champion sans épreuve sportive. Dans le film diffusé sur Arte il se paye même le luxe de dire que la théorie M, ça pourrait dire " M comme merde ". Sidérant.
Mais, grands dieux, qu'est-ce qu'un physicien ? N'est-ce pas quelqu'un qui est censé expliquer des phénomènes, fournir des interprétations, des modèles, qui peut essayer de prédire des choses, d'en expliquer d'autres ( ce que ma théorie gémellaire fait à longueur de pages. Mais mon livre "On a perdu la moitié de l'univers, 1997, a disparu au plus vite des librairies, faute d'écho dans les médias science et dans les médias tout court ). Or qu'a fait Witten ? Rien de ce genre. La théorie des cordes tourne totalement le dos aux réalités. Elle n'est en contact avec le réel à travers .. rien. Oui, vous avez bien lu. C'est le temps du grand Foutage de Gueule. Mais, en 1984 Witten fait sensation, dit Greene, en montrant que ces cinq théories pourraient se réduire à ... une seule. Et Greene d'ajouter " Witten a boosté la théorie ".
Ils causent, ils causent, c'est tout ce qu'il savent faire...
Une théorie qui décrirait quoi ? Minute, papillon. On n'en est pas encore là. Passer der cinq théories à une seule, c'est déjà "une grande avancée". De là à demander à quoi cette théorie unificatrice, baptisée " Théorie M " par Witten, pourrait servir, il y a un pas qu'il faut sans doute attendre quelque temps pour franchir. Comme dira Greene plus loin :
- Il faudra peut être un siècle, un million d'années pour savoir si cette théorie est réellement valable. Mais en dépit du fait que nous n'ayions aucune preuve que tout cela tienne debout nous, scientifique, croyons que cette théorie est la vraie.

Greene parsème son film de scènes grotesques. Il consacre de longues minutes à essayer d'avoir l'air très savant, en expliquant à l'américain moyen, qui doit en être stupéfié, qu'un beignet ( torique, le classique donut américain ) et une tasse, c'est pareil (ils ont des topologies identiques ). Images de synthèse. Le beignet se transforme en tasse et vice-versa. La foule exulte. Quel prodige, je comprends ! Mais ça montre quoi ? Rien. Greene, évoque la question des " trous de vers" des wormholes, chers à Kip Thorne, un autre membre du club.

Ces trous de ver sont qualifiés par Greene de " racourcis cosmiques ", mais il s'empresse d'ajouter, sentencieusement, comme pour rassurer son monde :
- On ne peut pas déchirer l'espace.
Image de synthèse montrant un univers qui se plie ( en fait la ville de Manathan ), puis un trou de vers qui se dandine comme un mirage. Une science qui évolue dans le virtuel.
Il y a de quoi exploser. Cette théorie des " trous de vers ", des " wormholes" n'en est pas une, non plus. En trois phrases, dans un séminaires, devant "un parterre de spécialistes" je pourrais ridiculiser l'auteur de cette nième imposture, dont la structure, au plan mathématique et géométrique est inexistante. Ce n'est qu'un mot, un mot de plus. La physique et l'astrophysique ne produisent que des mots depuis des décennies. Trous de vers, trous noirs, monopoles, quintessence, énergie noire, branes, etc... etc...
Ca me rappelle une phrase du défunt Jean Heidman, tête de file en cosmologie pendant des décennies, jusqu'à ce qu'il aille rejoindre les étoiles.
- Quand on parle de trous noirs, il faut laisser son bon sens au vestiaire.
Encore un qui n'a rien trouvé, rien laissé en partant. Ca sera pareil pour Hawking, à part son célèbre théorème : " black holes have no hair " : Les trous noirs n'ont pas de cheveux. Il sont "lisses".
Quand un astrophysicien produit autre chose que des mots, on feint de ne pas entendre. Je me souviens de ces minutes de silence, lourdes, au colloque d'astrophysique et de cosmologie de Marseille, en 2001 ( titre général du colloque : " Where is the matter ?", c'est à dire " Où est la matière ?" ), après que j'aie produit des résultats de calcul qui collaient de manière spectaculaire avec la VLS, la Very Large Structure, la sructure à grande échelle du cosmos, obtenus en 1992.
Lâches, lâches, complices de mille impostures, minables, fripons !
En lisant ces lignes, le lecteur se dira peut être :
- Mais, comment fait-il pour tenir de tels propos ? Comment peut-il la ramener à ce point ? Pour qui se prend-t-il, celui-là ?
Je me prends pour un scientifique dont les travaux sont sans points d'ombre, les mots bien définis, les théories étayées et confirmées par les observations, prêt à descendre dans toutes les fosses aux lions, de s'exposer aux traits des plus savants, prêt à risquer le discrédit public, le ridicule. Je suis un chercheur, touours en activité ( voir mon dernier travail ) qui n'a jamais mordu la poussière dans un séminaire, en 35 ans de carrière dans tous les domaines qu'il a abordé : MHD, géométrie, astrophysique, cosmologie, physique mathématique. Mais, en face, quelle lâcheté ! Je me souviens, c'était il y 28 ans. Un mathématicien, membre du Centre de Physique Théorique de Marseille, Patrick Iglesias, avait proposé que j'intervienne en séminaire dans son labo. Mais ses collègues craignaient que ceci "ne discrédite leur laboratoire".
- Eh quoi, avait lâché Iglesias ( il en a témoigné dans un de mes livres en 1986 ), si vous crachez tant sur les théories de ce type, invitez-le et descendez-le en public, flanquez son discours à bas, qu'on en finisse une fois pour toutes !
Mais ça ne s'est pas fait. Parce que quand il y a face à face, et qu'on m'attaque, c'est moi qui descend les autres à coup de théorèmes et de concordances avec des données d'observation ou d'expérience. Je n'attaque jamais le premier, mais quand quelqu'un s'y risque, ça ressemble à du Clint Eastwood scientifique. J'ai pas mal d'encoches sur la crosse de mon six-coups. La dernière, c'était en octobre 2003. Un imbécile de mathématicien qui m'avait pris pour un plaisantin lors d'un séminaire que j'avais donné dans son labo de Marseille. C'est idiot, mais c'est comme ça. Nombreux sont ceux qui m'ont confondu avec un simple auteur de BD ou compositeur de chansons, auteur de "SF". Je ne compte plus aussi les séminaires que j'ai pu donner, qui se sont terminés par un silence hostile et prudent, comme à l'Institut d'Astrophysique de Paris, quand celui-ci était dirigé par un certain Omont.

Omont, qui fut directeur de l'Institut d'Astrophysique de Paris
Il n'y eut aucun débat, de joute, de face à face. Après mon exposé ils se sont tous carapatés, ils ont tous quitté la salle avec précipitation. Ce séminaire n'avait été possible que parce que Souriau était personnellement auprès d'Omont en lui écrivant "Petit a des idées neuves, écoutez-les". Mais la réaction fut plutôt du genre :
- Cachez cette science que je ne saurais voir.
Omont, c'est un autre Tartuffe, un de plus. Pourquoi ce changement de paradigme qu'est cette idée de gémellité cosmique, lancées en 1967 par Andréi Sakharov leur fout-elle à ce point la trouille ? Parce que les "raccourcis cosmiques" seraient, cette fois, au coin de la rue et que ceux-ci permettraient des voyages, des incursions dont personne ne veut entendre parler, Reeves en tête qui, tel le marchand de sable, nous endort depuis un quart de siècle avec sa "poussière d'étoiles ".
Un souvenir me revient. Il y a 25 ans j'aperçois Reeves dans Paris, remontant à pied le boulevard Saint Germain, vers le quartietr Latin. Je le hèle, je traverse le boulevard. Il en est tellement ému qu'au terme de cet échange il repart ... en sens inverse ! Mais à cette époque le cabinet des médailles de la rue de Seine en avait déjà frappé une à son effigie ( J'imagine qu'ils doivent en préparer une autre pour Veneziano ).
Jalousie, rancoeur ? Non, indignation face au gâchis des deniers de l'Etat, à la fermeture, à la confiscation de la pensée, à l'imposture intellectuelle, omniprésente. Ca m'est arrivé, et plus d'une fois, d'allumer quelques chercheurs, venus donner des séminaires, et dont les propos m'avaient paru quelque peu légers. Je pense à l'un d'eux, qui avait écrit sur moi des rapports saignants dans le cadre de la section du Cnrs dont je dépendais et qui était venu pantalonner dans mon labo.

A l'issue de sa conférence je lui ai reproposé de venir faire moi-même un exposé, "dans son fief". Mes collègues s'en souviennent encore : ce preux prit aussitôt la fuite après avoir ramassé ses transparents. Una astronome présent s'était même levé, estomaqué en disant :
- Tu as vu ! Non seulement il ne répond pas à ta proposition mais il prend la fuite.
There is something rotten in the kingdom of science

Blanchard, entrepreneur en cosmologie ( depuis qu'il a tenu ces propos le cadre général s'est effectivement effondré )
Dans une autre séquence Greene nous emmène dans une boulangerie. Nouvelle clownerie.
- Cette structure en multi-univers, les physiciens l'appelent le " bulk " ( la masse, le colis, l'ensemble ). Encore un mot, un de plus, et d'autres images : Greene découpant des tartines, puis les enduisant de sucre ou de confiture.
- Vous comprenez, les gravitons sont comme du sucre. Ils n'adhèrent pas aux branes.
Mais personne ne sait ce qu'est un graviton, n'en a jamais fourni de modèle théorique. On ne sait pas quantifier la gravitation, ce qui n'empêche pas une revue très connue : "Classical and Quantum Gravity " d'exister et de se montrer très "pointilleuse et sélective" dans l'acceptation des papiers ( en fait, il faut être membre du club, c'est tout ).
Greene fait inscrire des galaxies sur des tranches de pain.
- Nous pourrions vivre sur une " brane ".
Toujours le conditionnel.
- Si on parvient à saisir le graviton avant qu'il ne s'échappe, on aura gagné la partie !
" Si ", comme disent les Lacédémoniens. Dans ce monde qui se prétend scientifique on suit le miroir aux alouettes des déclarations faites au conditionnel par ce représentant des bas-fonds de la pensée, on les propage, alors qu'on se détourne de ce qui marche, qui est sans faille, sans point d'ombre, comme si on avait de la merde dans le yeux et de la cire dans les oreilles. C'est l'épistémotrouille en action.
D'autres phrases de Greene me reviennent en mémoire. A un moment il évoque le Big Bang et dit :
- Deux branes on commencé à dériver l'une contre l'autre ....
Image de synthèse montrant des " dérives de branes ". Qu'est-ce que c'est que ces salades ?!?
Une pensée100 % virtuelle, un discours construit avec des rameaux de fraisier.
Soyons clairs. Depuis trente ans les contribuables de maints pays payent des chercheurs, des physiciens théoriciens qui ... ne trouvent rien, mais palabrent, publient des tonnes de papiers ( un par jour ! Des milliers ont été publiés ! ) sans queue ni tête. Ils se rencontrent dans maints colloques, dirigent des thèses, ou les soutiennent devant des jury où personne n'ose dire :
- Le roi est nu
Comment a-t-on pu en arriver là ?
Prenez une particule de masse au repos m. Elle représente une énergie m c2 , où c est la vitesse de la lumière. La masse du proton est
mp = 1,67 10-27 kilo
Elle représente une énergie équivalente de 1,5 10-10 joule. Mais les physiciens des "hautes énergies" ont coutume d'exprimer cela en utilisant une autre unité, l'électron-volt. Soit e la charge électrique unitaire, celle de l'électron ( ou du proton ) :
e = 1,6 10-19 coulomb
On passe de la mesure de l'énergie en joule à la mesure V en " électron-volts " en écrivant
m c2 = e V
Appliquez cela au proton. On obtient alors une énergie voisine de 1.000.000.000 " électron-volts ", un millard d'électron volts, ou 1 Gev.
Le kEv c'est le millier Le Mev c'est le Million Le Gev c'est le milliard. Simple.
L'histoire de la physique des particules s'inscrit dans la montée des énergies mises en jeu dans des " accélérateurs de particules ". Savez vous comment on les accélère ?
Un accélérateur de particules est semblable à votre ... intestin grèle. Vous savez que vous acheminez votre "bol alimentaire " à l'aide de contractions de vos muscles péristaltiques.

Acheminement d'un bol alimentaire dans lintestin grêle par contaction des muscles péristaltiques
Un accélérateur de particules en un immense tore, cerclé de bobinages supraconducteurs. le champ magnétique, plus intense au voisinage de ceux-ci, "confine" les particule dans une région proche de l'âme de ce tore. Si " la Nature a horreur du vide", les particules chargées ont "horreur des champs magnétiques " , elles les fuient. C'est expérimental et parfaitement bien compris, maîtrisé théoriquement et expérimentalement. La physique des plasmas nous enseigne que des particules chargées auront tendance à gagner les régions de l'espace où le champ magnétique est le plus faible. On va se servir de cela pour les accélérer.
Imaginez donc que le long de notre accélérateur de particules vous fassiez passer un coulant plus intense dans l'un des solénoïdes. Les "lignes de champ magnétique" seront plus serrées dans cette région, et les particules chargées auront tendance à être chassées loin de cet endroit.
Imaginez maintenant que vous propagiez cette intensification du champ magnétique. cela sera exactement conforme à l'image de la propulsion du bol alimentaire dans l'intestin grèle.

Entrainement de particules chargees par pincement du champ magnetique dans un accelerateur
Les particules vont être chassées vers l'avant, accélérées. Ce que peu de gens savent c'est le temps nécessaire pour qu'un accélérateur de particules ait rempli sa fonction, qu'il ait donné le maximum de vitesse aux particules chargées qu'il propulse ainsi. Ce temps se chiffre ... en heures. On doit ramer pour acclérer ds particules et faire que leur vitesse s'approche, péniblement, de celle de la lumière, sans jamais l'atteindre.
On peut aussi utiliser deux accélérateurs disposés l'un à côté de l'autre, de telle façon qu'en les "branchant" soudain l'un sur l'autre deux flux de particules, accélérées à des vitesses relativistes, arrivent l'un contre l'autre.

Collisonneur
On obtient ainsi ce qu'on appelle un collisonneur. Qu'est-ce qu'on accélère ? Essentiellement des protons, c'est à dire des noyaux d'hydrogène.
Quand les chercheurs ont estimé qu'ils avaient suffisamment joué avec les noyaux, en le cassant, ils ont chercher à "démonter les protons". Et, pour ce faire, il n'y a rien de mieux que de prendre deux protons et de les taper l'un contre l'autre, le plus violement possible. Avec quelle énergie ? Une énergie qui soit supérieure à leur équivalent en énergie-masse. Il faut donc un collisionneur qui charrie des protons en les dotant d'une énergie supérieure au Gev, au Giga électron volt.
Un certain Gell-Man avait imaginé que les protons pouvaient être constitués de quarks ( trois, pour être précis ). Mais là, une suprise de taille attendit les physiciens. Les quarks ... refusèrent de se séparer. Tout se passa comme si la force qui les liait croissait avec la distance, au lieu de décroître.
Y a-t-il une limite à l'énergie qu'on puisse communiquer à des protons ? A priori, non.
En non relativiste on parle d'énergie cinétique

Energie cinétique ( en non-relativiste )
Mais en relativiste l'énergie s'écrit autrement

Expression de l'énergie, en Relativité
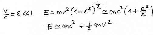
Le taupin s'apercevra immédiatement du lien entre les deux en constatant que s'il effectue, pour v petit devant c un "développement en série", il retrouve la formule non relativiste aisément.

Passage du relatviste au non relativiste
Toujours est-il, bien que la vitesse des n'importe quelle particule soit strictement limitée à c, qu'on peut lui conférer n'importe quelle énergie. Si v tend vers c cette énergie tend même vers ... l'infini. Mais je ne vais pas faire comme Greene, faire le malin, épater le petit peuple avec des arguments d'épicier de la science, archi-connus de n'importe quel étudiant en première année de physique.
Quand les gens tentèrent de "casser des protons" ils s'attendirent à avoir à fournir une certaine énergie, puis à se mettre ensuite à pouvoir observer les quarks, ses composants, à l'état libres. Mais, dans les faits, les choses se passèrent autrement. Si on donnait par exemple aux protons des énergie dix fois plus élevées que celle correspondant à leurs masses, la collision produisait un bien étrange résultat. Tout se passait comme si ces protons se trouvaient un court instant brisés et que ces fragments recomposaient aussitôt d'autres particules, éventuellement de masses supérieures, la plupart du temps instables. On a alors comparé les quarks aux extremités d'un bout de ficelle. Pour simplifier ( ce qui est faux ) supposons que les protons soient constitués par deux quarks q1 et q2 , assimilables aux deux extrêmités d'un bout de ficelle. Vouloir isoler des quarks c'est comme tirer sur une ficelle pour séparer les deux extrêmités. Que se passe-t-il alors ? Le bout de ficelle casse et au lieu d'avoir une seule particule on se retrouve avec deux, avec deux bouts de ficelle ayant chacun deux extrêmités.

Transformation d'énergie ( tension ), avec apparition d'une nouvelle particule ( modèle de la ficelle )
Le démontage des protons s'avéra une chose impossible. Mais le modèle fut cependant confirmé au sens tout "tout se passait comme si, effectivement, les protons étaient constitués par des quarks". La physique des particules dites élémentaires se mit alors à ressembler à un jeu étrange. Imaginez un forgeron qui frappe sur une bille d'acier avec un marteau, auquel il donne de plus en plus d'énergie. Le marteau représente cette énergie qui se matérialise. Le forgeron essaye de casser la bille, mais au lieu d'y parvenir il obtient une " gerbe " de nouvelles billes qui représentent en quelque sorte la conversion de l'énergie injectée sous forme de matière, sa "condensation" sous forme de nouvelles particules, par ailleurs hautement instables. .
La physique des hautes énergie déboucha sur ce qu'on a appelé " le modèle standard ". Un certain nombre d'expériences furent préparées, découlant de ce modèle et, avec le temps, elles furent toutes effectuées, toutes celles qu'on pouvait faire avec les machines existantes. On arriva alors à une nouvelle impasse. Pour aller plus loin il fallait sophistiquer de nouveau le modèle, en visager de nouvelles structures et, par delà, de nouvelles particules. Dans une voie qu'on appelle la supersymétrie les particules sont alors associées à une sorte de double, plus massif. Le neutron est ainsi associé à une "neutralino", le photon à un "phototino", etc. Mais comme ces masses de ces "super-particules" sont plus importantes, pour progresser dans les expériences il faudrait mettre en jeu des énergies encore plus importantes. Pour faire apparaître le "boson de Higgs" les physiciens estiment qu'il leur faudra manier des collisionneurs qui atteignent le Tev, le téra-électron volt : mille Gev ou un million de Mev ou
1.000.000.000.000 électrons volts
Plus l'énergie est élevée et plus la machine est grande et chère. On entre alors dans le domaine de la ploutophysique, de la "physique chère" ( ploutos, en Grec, veut dire cher ). Ca n'est pas seulement cher, c'est carrément, positivement ruineux. Le film " coaché " par Greene montre deux monstres-laboratoires en compétition : le Fermi Lab américain, et un laboratoire qui est en cours de construction au Cern de Genêve, sera achevé en 2007 et sera 7 fois plus puissant que la machine de son concurent américain.
Qu'est-ce que cela signifie ? Que depuis trente ans les physiciens théoriciens ont été livrés à eux mêmes, privés d'un fil conducteur expérimental. En physique, si on n'a plus l'expérience pour vous servir de guide, de support, on peut alors faire ... n'importe quoi, et avec cette " fantastique découverte " faite par Veneziano ils se sont alors lancés dans une entreprises qu'on pourrait qualifier d'autistique.
Pourquoi ont-ils suivi une telle voie ? La réponse est simple : parce qu'ils n'en concevaient aucune autre, tout simplement. En dehors des cordes, personne n'avait d'idée à proposer. Par ailleurs la théorie des cordes était "merveilleusement compliquée". Au passage, que faudrait-il pour faire des expériences mettant en jeu des supercordes ? Ca se chiffre aisément. Ces objets sont comme les mailles d'un pull, puisqu'ils constituent a priori tout : le contenu et le contenant, comme ces pull sophistiqués qui présentent des surface soient planes, soient pleines de reliefs, de torsades. Pour toucher à ces structures, il faudrait pouvoir "faire sauter une maille". Mais ce tissu est comme celui d'Alec Guiness dans le célèbre film " L'homme au Complet Blanc ". Les mailles sont hyper solides et serrées. Dimension caractéristique : la longueur de Planck :
Lp = 10-33 cm
Le physicien expérimentateur, rompu à l'approche quantique assimile aussitôt cela à une longueur d'onde lambda. En sortant la constante de Planck de son chapeau :
h = 6,67 10-34
il fait aussitôt émerger une énergie caractéristique, qu'il convertit en électrons-volts:

Résultat : 1025 Tev
1 0.000.000.000.000.000.000.000.000 de fois l'énergie de l'accélérateur le plus puissant qui soit en construction actuellement !
L'expérimentateur hausse les épaules et s'en va. Mais Misho Kaku, autre tenant de ces "super-théories" vous dira qu'il s'agit "d'une physique qui est trop en avance sur son temps". Elle a peut être ... des millions d'années d'avance.

Je vais essayer de donner une image de ce délire. Imaginez des gens qui veuillent comprendre ... la musique. Comparons les particules à des instruments de musique, qui produisent certains sons, avec certains timbres. Sons, timbres, représentent les particules, leurs masses, leur charges. Détail : on ne sait pas pourquoi elles ont ces masses-là et pas d'autres. C'est ... comme ça. La musique, l'harmonie, constituent l'image analogique de tous les phénomènes et des lois de la nature.
Quelqu'un, tout d'un coup, découvre qu'un son, phénomène vibratoire périodique peut être considéré comme la superposition de vibrations sinusoïdales élémentaires, déphasées les unes par rapport aux autres ( la "décomposition spectrale inventée par le mathématicien français Fourier ). Celui qui a découvert cela décrète alors qu'il a découvert une théorie permettant de créer "tous les sons possibles" et même, carrément ... "toute les musiques possibles". Mais si quelqu'un lui dit "quel son, quelle musique suggérez-vous de créer ? " il ne saura quoi répondre. Il ne sait pas quels sons considérer et n'a pas de notions d'harmonie ou de rythmique à proposer. Son imagination musicale s'avère même être parfaitement nulle. Il prétend seulement que quand sa théorie fonctionnera elle sera capable d'engendrer "toutes les musiques possible".
Cela me rappelle un professeur de dessin que j'avais quand j'avais dix ans, au Lycée Carnot. Il nous recommandait de dessiner en posant sur la feuille une sorte de frottis de crayon et ajoutait :
- Comme ça vous êtes sûr que le bon trait s'y trouve.
Ma mère, qui dessinait et peignait, était de l'avis contraire et recommandait au contraire de chercher à dessiner en ne traçant qu'un seul trait, d'un coup ( ceux qui me conaissent savent que dessine d'ordinaire sans gomme ). Mon professeur de dessin et moi étions donc d'avis contraire et je devins rapidement pour lui un cauchemar vivant pour, de même que pour ceux qui lui succédèrent parce que je me mis à faire des portaits de lui assez ressemblants, ce qu'il était incapable de faire. En fait il dessinait comme un pied.
La théorie des supercordes n'est pas une symphonie, c'est une cacophonie de cordes vibrantes, ouvertes ou fermées. Les tenants de cette théorie pensent que tout peut et doit se réduire à des modes vibratoires particuliers de cordes. Comme rien n'en a émergé depuis trente ans ils ont imaginé de faire vibrer ces cordes dans des espaces contenant un nombre plus grand de dimensions. Dix, pour être précis. Tout devint alors compliqué à souhait. A ce stade il y avait cinq façon d'engendrer des sons. En 1984 Witten, en ajoutant une dimension supplémentaire, ce qui porta leur nombre total à 11, montra que ces cinq façons pouvaient se réduire à une seule et il appela cela la " théorie M ". C'est à dire qu'au lieu d'avoir cinq cacophonies, on n'en avait plus qu'une. Il y eut un framissement dans la la salle, après ce nième effet d'annonce. Mais on n'en fut pas plus avancé pour autant.
Plus la théorie des supercordes s'enfonce dans son vide conceptuel et plus elle essaye, pour échapper au ridicule, de nous bourrer le mou en nous promettant monts et merveilles. C'est ainsi qu'elle apparu il y a une dizaine d'année le concept de TOE ( Theory of everything ou Théorie de Tout ). Franchement, ces gens n'ont pas froid aux yeux et par ailleurs personne n'ose s'écrier "mais c'est de la connerie et ça n'est que de la connerie !". Il ne s'agit pas de scier l'unique branche sur laquelle tout le monde est assis. En physique théorique et en cosmologie, en astrophysique, ce qui domine actuellement, c'est l'esprit de corps.
- Quoi qu'il arrive, restons groupés.
- Ca n'est pas parce qu'on a rien à dire qu'il faut fermer sa gueule. Si les gens veulent du nouveau on n'a qu'à inventer des mots.
Comme dit Reeves :
- Moi, quand j'ai rien à dire, je le dis.
L'image de la conception des sons n'est pas si mauvaise. Prenez une flûte. Comment s'y prend-t-on pour produire des notes particulières ? Eh bien la partie de la flûte qui est près de votre bouche produit "tous les sons possibles", c'est à dire un bruit de fond, un "souffle". Avec le système de trous ( certains étant ouverts et d'autres fermés ) on priorise des modes particuliers de vibration. Dans cette optique la théorie des cordes ressemble au Gaffophone de Gaston Lagaffe. C'est une flûte où on peut envisager de mettre les trous d'une infinité de façons possible. On peut même envisager d'ouvrir et de fermer ces trous d'une autre infinité de façons. Bref avec cette "flûte potentielle" on peut dire qu'a priori, en envisageant toutes les possibilités de percer les trous puis de manipuler l'objet, qu'on dispose d'un instrument qui est susceptible d'engendrer toutes les musiques possibles.
Quelle musique ? Aucun de ces théoriciens n'en sait rien. Mais des cordes ont est passé au membranes. Un membrane comme celle d'un haut parleur est, topologiquement parlant un disque, avec un bord circulaire. Une corde ouverte est un segment bordé par deux points. L'équivalent 2d d'une corde fermée est une surface fermée, une 2-brane, la corde fermée étant une 1-brane, une "sphère S1, à une seule dimension". Mais la géométrie indique qu'on peut alors envisager des 3-branes, des 10- branes, etc, et tout devient merveilleusement compliqué.
Dans le document diffusé par Arte vous aurez pu entendre Greene ( the little greene man ) nous déclarer que notre univers "pourrait être une brane" et "que le Big Bang pourrait découler de la collision de deux branes".
Et ta soeur ?
C'est n'importe quoi. Ces gens s'en sortent en déclarant avec emphase qu'il pourrait existe d'autres univers, correspondant à d'autres branes.
- Dans certains la vie pourrait exister. Dans d'autres les lois de la physique pourraient être totalement différentes, dit Greene
Une pensée qui évolue dans ... la fiction et qui n'est que de la fiction.
Vous l'avez compris, le champ d'investigation des supercordes et des branes est celui de "toutes les physique possibles". Normalement, un type qui tient de tels discours, on le soigne, on lui fait prendre des cachets, on lui conseille de se reposer. Souriau n'a pas tort quand il dit que la physique théorique contemporaine ressemble à un vaste hôpital psychiâtrique où les fous auraient pris le pouvoir. Cela va même au point qu'un homme comme Veneziano ose affirmer dans son discours d'ouverture lors de sa nomination au Collège de France "que c'est de la recherche fondamentale". En fait on pourrait considérer cela comme du surréalisme scientifique. Il y a des années un groupe qui aimait à jouer avec le langage avait créé l'OULIPO, ou "ouvroir de littérature potentielle". J'avais connu certains de ses membres, dont le Lyonnais. C'était très amusant. Vous vous rappelez peut être :
| Les pantoufles volaient dans l'azur famélique Quand soudain apparut mon oncle d'Amérique Et les homards, volant à l'entour des portiques Afin d'y voir plus clair, enlevaent leurs tricots Et le pétrole, assis au borde de la route Regardait tout cela, en ne comprenant pas. |
Extrait d'un ouvrage intitulé "la négresse blonde" de Georges Fourest
C'est amusant, mais ça n'a ni queue, ni tête et d'autre fonctionnalité que de nous faire rire. C'est tout sauf un récit. Peut être la théorie des supercordes, qui se vent " élégante ", pour reprendre le mot de Greene, n'a-t-elle d'autre prétention que de se hausser à la hauteur d'un nouveau surréalisme. Quant on voit le texte ci-dessus, il conserve un rythme. Ce sont des vers. Mais on pourrait supprimer les rimes, abolir la grammaire, la syntaxe et même l'orthographe, envisager un discours beaucoup plus riche, constitué de caractères mis bout à bout, et de blancs, de virgules, de points, qui contienne "tous les mots possibles " et "tous les récits possibles". Quelle gain en richesse !
En fait, la théorie des supercordes ressemble à une sorte d'expression d'un nouveau principe d'incertitude.
Plus le projet est ambitieux et moins il se révèle fécond
Je terminerai ce texte par une simple formule :
Ceux que leurs cerveaux de géants empêchent de penser
J'ai 68 ans. Ma vie professionnelle est un enchaînement de gâchis successifs, non-stop. Après avoir réussi de très jolies expériences de physique des plasmas, après avoir fait fonctionner en 1966, pour la première fois au monde un générateur MHD avec deux températures au lieu d'une, j'ai commencé par proposer des expérience dont personne ne voulait entendre parler, comme de supprimer des ondes de choc autour de maquettes immergées dans des courants gazeux supersoniques. Cela débouchait sur un concept révolutionnaire : le vol hypersonique, le " vol MHD " sans Bang. Une technique qui n'était pas de la science fiction (dont les Américains ont fait depuis 1990 une réalité volante ). Ces recherches ont été étouffées, en dépit de dix années de combat. On a délibérément laissé le blé pourrir sur pied, sans le moissonner, jusqu'à ce que ce blocage, instrumenté par ces imbéciles de militaires me contraigne à l'abandon, il y a vingt ans.
Les responsables principaux ont des noms et des visages, bien qu'ils soient récemment décédés. Il s'agit de :
- René Pellat, qui fut haut commissaire à l'Energie Atomique et Président du Cnrs
- Hubert Curien qui fut successivement directeur du Cnrs, puis du Cnes, puis Ministre, puis directeur du Cern et que sais-je encore.
On leur doit, en France, un retard irrattrappable de trente années en matière de MHD.
En astrophysique et en cosmologie, voyez du côté de Schatzman, membre de l'Académie des Sciences.
En physique théorique on pourra demander des comptes, dans vingt ou trente ans, à Thibaud Damour, cerbère de l'Institut des Hautes Etudes de Bures sur Yvette, qui attend que sa théorie de l'avant Big Bang, basée sur celle... des cordes mûrisse. Mais à ce moment c'est moi qui aurait passé l'arme à gauche. Et si un jour vous entendez des éclairs plus bruyants que d'autres cela signifiera que, dans l'au-delà, je règlerai mes comptes avec Pellat, Curien, Schatzman, voire Thibaud Damour
Elle est pas belle, la science ?
4 septembre 2005 : L'opinion de Philip W. ANDERSON, prix Nobel, Princeton U, sur la théorie des supercordes
|
Retour vers le début de ce dossier consacré au livre de Brian Greene " l'univers élégant "
Retour vers Nouveautés Retour vers Guide Retour vers page d'Accueil
Nombre de consultations de cette page depuis le 11 mars 2005 :